1.算法描述
最近在做AutoEncoder的一些探索,看到2016年的一篇论文,虽然不是最新的,但是思路和方法值得学习。
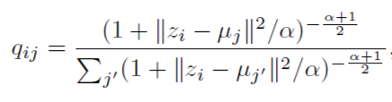
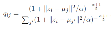
其中 i表示第i样本,j表示第j个聚类中心, z表示原始特征分布经过Encoder之后的表征空间。
𝑞
𝑖 𝑗
可以 解释为样本i属于聚类j的概率,属于论文上说的"软分配"的概念。那么“硬分配”呢?那就是样本一旦属于一个聚类,其余的聚类都不属于了,也就是其余聚类的概率为0。由于
𝛼
在有label的训练计划中,是在验证集上进行确定的,在该论文中,全部设置成了常数1。
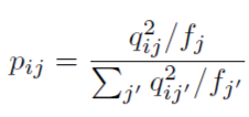
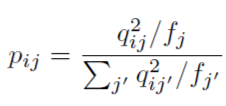
然后神奇的事情发生了,作者发明了一个辅助分布也用来衡量样本属于某个聚类的分布,就是下面的公式了:
其中fj=∑iqij
也许你会疑问,上面这个玩意怎么来的?作者的论文中说主要考虑一下三点:
-
强化预测。q分布为软分配的概率,那么p如果使用delta分布来表示,显得比较原始。
-
置信度越高,属于某个聚类概率越大。
-
规范每个质心的损失贡献,以防止大类扭曲隐藏的特征空间。分子中那个𝑓𝑗就是做这个的。
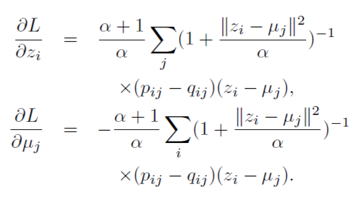
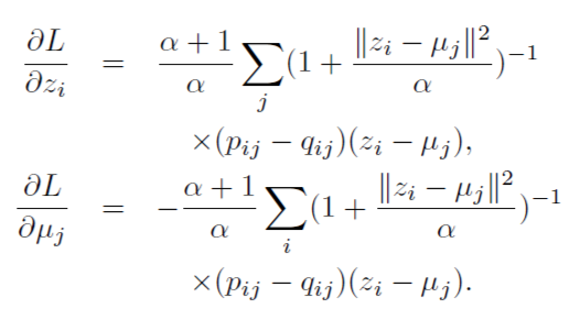
假设分布有了,原始的数据分布也有了,剩下衡量两个分布近似的方法,作者使用了KL散度,公式如下:
这个也是DEC聚类的损失函数。有了具体的公式,明确一下每次迭代更新需要Update的参数:
第一个公式是优化AE中的Encoder参数,第二个公式是优化聚类中心。也就是说作者同时优化了聚类和DNN的相关参数。
作者设计的网络概念图如下:
DEC算法由两部分组成,第一部分会预训练一个AE模型;第二部分选取AE模型中的Encoder部分,加入聚类层,使用KL散度进行训练聚类。
2.实验分析
实验部分比较了几种算法,比较的指标是ACC,对比表格如下:
DEC的效果还是比较不错的,另外值得一提的是DEC w/o backprop算法,是将第一部分Encoder的参数固定之后,不再参加训练,只更新聚类中心的算法,从结果上看,并没有两者同时训练效果来的好。
DEC的第一部分会预训练AE,那么AE对于整个算法的贡献是什么?接下来,作者分析了AE和不同算法组合的情况,效果如下:
从表中我们看到,加了AE之后,kmeans的提升很大,SEC和LDMGI提升不大,甚至后者还降了一点。
DEC会初始化K个聚类中心,与kmeans一样,聚类中心的数目的确定始终是个难点。论文的最后部分,讨论了怎么确定聚类的中心K。主要是两个指标,用来衡量不同K值下的取值。
是存在label的比较常用的衡量聚类的方法
其中L表示不同样本集合上的损失,该指标用来衡量过拟合的程度。
上图展示了不同聚类中心数目下NMI和Generalizability的走势,从上面可以看出在9的时候,存在明显的拐点。
3.源码分析
论文使用的Caffe写的,对于我这种半路出家的和尚有点吃力,网上找了一个keras的实现代码,https://github.com/XifengGuo/DEC-keras/blob/master/DEC.py
首先是DEC的预训练的部分,预训练的模型先保存了起来方便训练聚类使用:
def pretrain(self, x, y=None, optimizer='adam', epochs=200, batch_size=256, save_dir='results/temp'):
print('...Pretraining...')
self.autoencoder.compile(optimizer=optimizer, loss='mse')
self.autoencoder.fit(x, x, batch_size=batch_size, epochs=epochs, callbacks=cb)
self.autoencoder.save_weights(save_dir + '/ae_weights.h5')
self.pretrained = True
在进行训练之前,我们看一下作者构造的一个新的网络层
class ClusteringLayer(Layer):
.....
def build(self, input_shape):
assert len(input_shape) == 2
input_dim = input_shape[1]
self.input_spec = InputSpec(dtype=K.floatx(), shape=(None, input_dim))
//在这里定义了需要训练更新的权重,就是说把K个聚类当作了“权重”来进行更新了
self.clusters = self.add_weight((self.n_clusters, input_dim), initializer='glorot_uniform', name='clusters')
if self.initial_weights is not None:
self.set_weights(self.initial_weights)
del self.initial_weights
self.built = True
def call(self, inputs, **kwargs):
""" student t-distribution, as same as used in t-SNE algorithm.
q_ij = 1/(1+dist(x_i, u_j)^2), then normalize it.
Arguments:
inputs: the variable containing data, shape=(n_samples, n_features)
Return:
q: student's t-distribution, or soft labels for each sample. shape=(n_samples, n_clusters)
"""
q = 1.0 / (1.0 + (K.sum(K.square(K.expand_dims(inputs, axis=1) - self.clusters), axis=2) / self.alpha))
q **= (self.alpha + 1.0) / 2.0
q = K.transpose(K.transpose(q) / K.sum(q, axis=1))
return q
def compute_output_shape(self, input_shape):
assert input_shape and len(input_shape) == 2
return input_shape[0], self.n_clusters
def get_config(self):
config = {'n_clusters': self.n_clusters}
base_config = super(ClusteringLayer, self).get_config()
return dict(list(base_config.items()) + list(config.items()))
接下来就是第二部分fit的过程了
def fit(self, x, y=None, maxiter=2e4, batch_size=256, tol=1e-3,
update_interval=140, save_dir='./results/temp'):
# Step 1: initialize cluster centers using k-means
kmeans = KMeans(n_clusters=self.n_clusters, n_init=20)
y_pred = kmeans.fit_predict(self.encoder.predict(x))
y_pred_last = np.copy(y_pred)
self.model.get_layer(name='clustering').set_weights([kmeans.cluster_centers_])
# Step 2: deep clustering
loss = 0
index = 0
index_array = np.arange(x.shape[0])
for ite in range(int(maxiter)):
if ite % update_interval == 0:
q = self.model.predict(x, verbose=0)
p = self.target_distribution(q) # update the auxiliary target distribution p
# evaluate the clustering performance
y_pred = q.argmax(1)
if y is not None:
acc = np.round(metrics.acc(y, y_pred), 5)
nmi = np.round(metrics.nmi(y, y_pred), 5)
ari = np.round(metrics.ari(y, y_pred), 5)
loss = np.round(loss, 5)
logdict = dict(iter=ite, acc=acc, nmi=nmi, ari=ari, loss=loss)
logwriter.writerow(logdict)
print('Iter %d: acc = %.5f, nmi = %.5f, ari = %.5f' % (ite, acc, nmi, ari), ' ; loss=', loss)
# check stop criterion
delta_label = np.sum(y_pred != y_pred_last).astype(np.float32) / y_pred.shape[0]
y_pred_last = np.copy(y_pred)
if ite > 0 and delta_label < tol:
print('delta_label ', delta_label, '< tol ', tol)
print('Reached tolerance threshold. Stopping training.')
logfile.close()
break
# train on batch
# if index == 0:
# np.random.shuffle(index_array)
idx = index_array[index * batch_size: min((index+1) * batch_size, x.shape[0])]
loss = self.model.train_on_batch(x=x[idx], y=p[idx])
index = index + 1 if (index + 1) * batch_size <= x.shape[0] else 0
# save intermediate model
if ite % save_interval == 0:
print('saving model to:', save_dir + '/DEC_model_' + str(ite) + '.h5')
self.model.save_weights(save_dir + '/DEC_model_' + str(ite) + '.h5')
ite += 1
return y_pred
文章只是简单分析了一下,具体细节还是看源码来得实在。
想到的一些问题如下:
1.DEC的假设分布从实验效果上看起来不错,是否存在其他的比较牛逼的分布呢?
2.DEC聚类不能产生新的样本,这也是VADE类似的聚类算法的优势,抽空再看看。
3.DEC的使用除了聚类,还有什么呢?个人能想到的一点就是做离散化,相比于AE的那种Encoder的抽象降维来说,DEC可以产生离散的变量,而不是多维的连续变量。后续可以在工程中尝试一下。
4.更多的确定K的方法有哪些? 后来找到这个文章,适当补充 https://blog.csdn.net/sinat\_33363493/article/details/52496011。
参考文章:
