在人工智能领域,多跳问答(Multi-hop Question Answering, MHQA)一直是一项极具挑战性的任务。这类任务要求系统通过多步推理,从不同文档片段中综合信息才能得出答案。例如,回答“特朗普的祖父是谁?”这样的问题,往往需要先检索“特朗普的父亲是弗雷德·特朗普”,再进一步查询“弗雷德·特朗普的父亲是谁”。然而,现有方法依赖大型语言模型(LLM)反复重写查询,导致计算成本高昂、延迟显著。近期,一项名为TreeHop 的研究提出了一种全新的解决方案,通过嵌入空间的动态更新,实现了99%的延迟降低 与5%-0.4%的模型参数量 ,为高效多跳推理开辟了新路径。
- 传统方法的瓶颈:LLM依赖与效率困境
现有的检索增强生成(RAG)系统通常采用“检索-重写-向量化-再检索”的循环流程。例如,系统需用LLM根据首次检索得到的文本生成新查询,再重新编码并检索。这一过程虽能提升召回,但每次迭代均需调用LLM对原问题进行重写(query rewrite),再使用sentence embedding模型映射到向量空间,导致计算资源消耗巨大,延迟过高,难以在工业场景中高效部署。
- TreeHop的核心突破:嵌入空间的动态演化
TreeHop的创新在于完全摒弃LLM ,直接在嵌入空间中完成多跳推理。其核心机制包括:
2.1. 动态嵌入更新的双模块协同
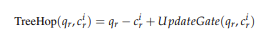
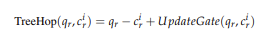
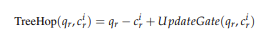
TreeHop通过query embedding与文档块嵌入的动态交互 生成下一步查询,其公式为:
其中:
- ( q_r - c_r ):通过减法抑制当前query与文档块的语义重叠,避免冗余检索。例如,若当前文档已确认“弗雷德是特朗普的父亲”,从更高维的角度来理解,该操作会剔除query中与“弗雷德”相关的信息,确保下一跳聚焦于未解决的语义(如“弗雷德的父亲”)。
- UpdateGate :基于跨注意力机制(cross-attention),从文档块中提取query中没有的新信息并融合到query中。例如,当检索到“弗雷德是特朗普的父亲”时,UpdateGate会捕捉“弗雷德”这一新事实,并将其补充到query embedding中,形成下一跳的查询方向。
两者的结合实现了**“去冗余”与“信息增强”的协同** :减法操作防止重复检索,而加法操作引入新线索。
2.2. 双重剪枝策略
- 冗余剪枝 :若某文档片段已在先前步骤中被检索,则终止该路径。
- 层级Top-K剪枝 :每层仅保留相似度最高的K个候选,将检索复杂度从指数级(如5³=125)降至线性增长(如5*3=15)。
实验表明,TreeHop在3个主流MHQA数据集(2WikiMultiHop、MuSiQue、MultiHop RAG)上,仅用0.06秒即可完成3跳检索 ,召回率与LLM方案相当,部分场景甚至提升4.1%。
- 工业应用:低成本部署与实时响应
TreeHop的技术突破为工业界提供了极具吸引力的解决方案:
- 成本效益 :参数量仅为传统方案的0.4%-5%,可于单块Nvidia V100 GPU中训练,显著降低硬件投入。
- 实时性 :99%的延迟缩减使其适用于客服系统、金融信息检索等对多跳场景刚需,同时对响应速度敏感的领域。
- 多语言支持 :TreeHop基于BGE-m3模型的embedding训练,可快速适配全球化业务需求,如跨境法律咨询或跨地区医疗知识库。
