决策树在很多公司都实际运用于风险控制,之前阐述了 决策树-ID3算法和C4.5算法 和 Python中应用决策树算法预测客户等级 。
本文致力于让大家从原理出发,彻底 理解CART决策树 ,为之后的机器学习算法:随机森林、GBDT、XGBoost、Lightgbm的学习打好扎实的基础。
本文目录
- CART树理解
- 分类CART树生成
2.1 基尼指数
2.2 应用基尼指数生成CART分类树实例 3. 回归CART树生成
3.1 误差平方和
3.2 应用误差平方和生成CART回归树实例 4. CART树剪枝
ID3、C4.5、CART树对比总结
一、CART树理解
CART(classification and regression tree)树 :又称为分类回归树,从名字可以发现,CART树既可用于分类,也可以用于回归。
当数据集的因变量是离散值时,可以采用CART分类树进行拟合,用叶节点概率最大的类别作为该节点的预测类别。
当数据集的因变量是连续值时,可以采用CART回归树进行拟合,用叶节点的均值作为该节点预测值。
但需要注意的是,该算法是一个二叉树,即每一个非叶节点只能引伸出两个分支,所以当某个非叶节点是多水平(2个以上)的离散变量时,该变量就有可能被多次使用。
为了大家对CART树有一个更清晰的理解,先放一张理解图:
从上图知CART决策树分为分类CART树和回归CART树,只是在特征选择时一个采用基尼指数,一个采用残差平方和。
二、分类CART树生成
1 基尼指数(Gini index)
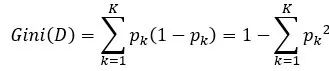
假设数据集D中有K个类,样本属于第K类的概率为p k , 基尼指数 Gini(D) 表示集合D的不确定性(纯度),公式如下:
从上面的公式可以发现,当数据集D中只有1个类时,pk=1,Gini(D)=0,说明 基尼指数越小,样本纯度越高 。
对于特征A,将集合D划分成D 1 和D 2 , 基尼指数 Gini(D,A) 表示经过A=a划分后集合D的不确定性,公式如下:
其中|D|、|D 1 |、|D 2 |分别表示数据集D、D 1 、D 2 中样本数量。
2 应用基尼指数生成CART决策树实例
为 了大家更清晰地理解公式,接下来阐述用基尼指数挑选特征建立CART决策树的实例。
表1 贷款申请样本数据表
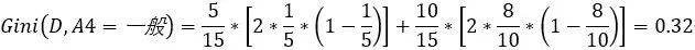
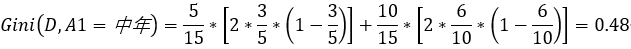
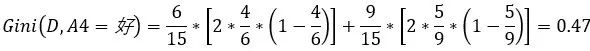
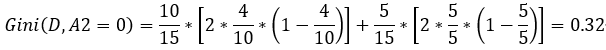
首先计算各特征的基尼指数,选择最优特征以及最优切分点。为了公式的简洁,分别以A1、A2、A3、A4表示年龄、是否有工作、是否买房、信贷表现。
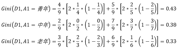
首先求特征A1的基尼指数,A1中有三个类别:青年、中年、老年,样本数量都是5,根据公式
假设要求Gini(D,A1=青年)的值,其中|D|表示整个数据集中样本个数,从编号知值为15,|D 1 |表示年龄是青年的样本个数,值为5,|D 2 |表示年龄不是青年的样本个数,值为10。
Gini(D 1 )表示青年这个类别的基尼指数,对应的Y有两种可能,一种是放贷(1),另一种是不放贷(0),代入公式可得:
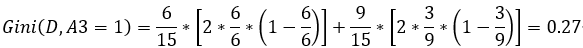
同理可得Gini(D2),故
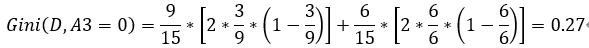
同理可得
由于A2、A3只有一个切分点,所以算出来的基尼值相同,算其中一个即可。
从上面的计算可以知道,Gini(D,A3=0) =Gini(D,A3=1)=0.27最小,所以选择A3作为最优特征,A3=1或A3=0作为最优切分点,依次递归计算划分值,建立决策树如下:
由于t2这个子节点已经很纯了(只有放贷客户),所以不需要再分裂,只需考虑t1这个节点,按t0节点同样的方法筛选变量进行分裂,具体计算结果如下:
从上面的计算知,Gini(D1,A2=0)=0最小,所以选择A2作为最优特征,A2=1或A2=0作为最优切分点,依次递归计算划分值,建立决策树如下:
由上面的决策树知,叶子节点t2、t3、t4都是纯的了,无需再进行划分。这只是理想数据,便于大家理解基尼指数,现实数据远远比这复杂,不过用Python处理也很方便。
三、回归CART树生成
1 误差平方和
如果之前对回归分析有了解的朋友应该知道,我们在预测模型时希望真实值和预测值越接近越好,说明预测误差小。
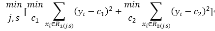
若y i 表示训练集D={(x 1 ,y 1 ),(x 2 ,y 2 ),...,(x n ,y n )}的输出变量,是连续值。f(x i )是预测值,则预测误差可以表示为:
我们拟合的目标就是寻找最佳划分特征里的最佳划分点,找到每一个f(xi),使得误差平方和最小化。
把误差平方和应用到CART回归树中,数学表达式如下:
其中j、s分别表示第j个变量的划分点s,R 1 (j,s)表示在该划分下的左区域,R2(j,s)表示在该划分下的右区域, C 1 、C 2 为区域R1(j,s)、R2(j,s)的最优输出值(因变量均值)。
2 应用误差平方和生成CART回归树实例
为 了大家更清晰地理解公式,接下来阐述应用误差平方和挑选特征建立CART回归树的具体实例。
为了得到这个问题的最小二叉回归树,首先需要选择特征切分点。
特征x包含了10个元素,且已排好序了,直接以(x i +x i+1 )/2,i∈{1,2,...,10}为切分点s,容易求得:
则C 1 、C 2 为:
其中N1、N2分别是R1、R2中的样本点数,C1、C2为R1、R2中的因变量均值。
针对x考虑如下切分点:1.5、2.5、3.5、4.5、5.5、6.5、7.5、8.5、9.5,可以求出相应的R1、R2、C1、C2,以及
例如,当s=1.5时,R1={1},R2={2,3,...,10},C1=5.56,C2=7.5,则
同理可得其 它划分点的最小误差如下:
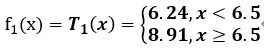
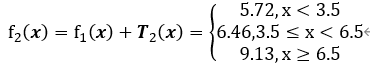
由上表知,当x=6.5时m(s)达到最小值,即此时误差平方和最小。此时R1={1,2,...,6},R2={7,8,...,10},C1=6.24、C2=8.9,所以回归树T 1 (x)为:
y i
f 1 (x i )(i=1,2,...1,10)。
第2步求T 2 (x)方法与求T1(x),只是拟合的数据是上表的残差,可以得到:
可以根据此方法继续求解,直至拟合训练数据的误差平方和小于某个阈值时作为结束条件,那么f(x)=f i (x)即为所求回归树。
四、CART树剪枝
一般而言,训练集中预测值和真实值越接近说明拟合效果越好,但是有时数据过度地拟合训练数据,导致模型的泛化能力较差,在测试数据中的表现并不好。
为了防止模型发生过拟合,可以对“完全生长”的CART树底端剪去一些枝,使得决策树变小从而变得简单。
其实剪枝分为预剪枝和后剪枝,预剪枝是在构建决策树的过程中,提前终止决策树的生长,从而避免过多的节点产生。但是由于很难精确判断何时终止树的生长,导致预剪枝方法虽然简单但实用性不强。
后剪枝是在决策树构建完成之后,通过比较节点子树用叶子结点代替后的误差大小,如果叶子结点合并后误差小于合并前,则进行剪枝,否则不剪枝。
CART树采用后剪枝的策略, 为 了让大家彻底弄懂剪枝,首先来看几个和剪枝有关的函数。
1 损失函数
损失函数计算公式如下:
其中T是任意子树,C(T)为子树的预测误差,分类树用基尼指数,回归树用均方误差。
|T|是子树T的叶子节点个数,a是正则化参数,用来平衡决策树的预测准确度和树的复杂度。
a越大,表示惩罚越大,在求最小化损失函数Ca(T)时,要求子树的叶子节点个数越少,表示树越简单,剪枝越厉害。a越小,表示树越复杂。
2 误差增加率
-
从整体树的任意内部节点t开始。
-
以t为单节点的树的损失为:
- 以t为根节点的树的损失为:
- 如果Tt与t有同样的损失,且t的节点更少,那么t比Tt更可取,所以剪掉Tt,此时有Ca(t)=Ca(Tt),根据2)和3)变形得:
这表示剪枝后整体损失函数增加的程度。其中C(t)表示节点t的子树被剪枝之后节点t的误差,C(T t )表示节点t的子树没有被剪枝时子树Tt的误差。
C(t)=c(t)*p(t),c(t)是节点的误差率,p(t)是节点上的数据占所有数据的比例。
剪枝之后决策树的叶子减少了|Tt|-1,|Tt|为子树Tt的叶子数。
为了更清晰地展示剪枝,借鉴参考文献4中的一个实例进行说明,具体决策树如下:
由上图知,决策树中训练样本总个数为80,对于节点t4,其中A类样本46个,B类样本4个,根据大多数原则,节点t4中样本为A类,故节点t4的子树(t8,t9)被剪枝之后的误差为:
节点t 4 的子树(t8,t9)被剪枝之前的误差为:
故误差增加率
按此方法,依次得到原始树T0中的4个非叶节点的误差增加率,如下表:
从上表知,原始树T0中的4个非叶节,t4节点剪枝后损失函数增加的程度最少,因此可以考虑首先裁剪t4下面的叶子节点,在图上展示如下:
同理可得,剪枝后树T1中的3个非叶节点的误差增加率,如下表:
从上表知,树T 1 中的3个非叶节点,虽然t 2 节点和t3节点剪枝后损失函数增加的程度一样少,但是裁剪t2节点的分枝可以得到更小的决策树,因此考虑裁剪t 2 下面的叶子节点,在图上展示如下:
由上图知,经过两轮剪枝后只剩一个非叶子节点,再剪就只剩根节点了。这个例子只是为了大家熟悉CART剪枝,所以比较理想化。
在现实应用中一般对误差增加率a设定一个阈值,小于该阈值则进行剪枝,否则保留。
五、ID3、C4.5、CART对比总结
之前已经介绍过ID3、C4.5算法,本文介绍了CART算法,为了大家对这几个算法有一个更系统的认识,总结如下:
至此,CART决策树已全部讲解完毕,感兴趣的同学可以自己推理一遍。
参考文献
周志华《机器学习》
https://zhuanlan.zhihu.com/p/99855846
https://www.sohu.com/a/109389515_466874
https://www.pianshen.com/article/70041892550/
https://blog.csdn.net/xiaokang06/article/details/76685902
https://blog.csdn.net/qq_40587575/article/details/80219080
https://blog.csdn.net/qq_27717921/article/details/74784400
https://segmentfault.com/a/1190000022071836?utm_source=tag-newest
往期回顾:
扫一扫关注我
13162366985
投稿 微信号、手机
