如果说 YOLOv5、YOLOv8 把目标检测带进了“人人可用”的时代,那刚刚亮相的 YOLO26 ,则更像是把它推向“随处可用”的新阶段——更轻、更快、更适合在各种端侧和边缘设备上真正跑起来。它的设计思路已经很明确:不再一味卷榜单精度,而是围绕 轻量化 + 实时性 + 落地部署 做极致优化,这也基本宣告了未来一段时间 YOLO 方向的主战场:工程可用性与场景化创新 。
对想发论文、想做项目的同学来说,这反而是机会:垂直领域的场景定制、多模态与开放词汇检测、与大模型/强化学习/检索增强等新范式的融合,围绕 YOLO26 都有很多可以切入、也更容易做出成果的空间。
为了方便大家系统跟进这个方向,我把近半年筛选的80篇YOLO论文 做成了一份资料合集,需要的同学可以扫码领取。
扫码回复【yolo】领取论文合集
1.YOLO26: Key Architectural Enhancements and Performance Benchmarking for Real-Time Object Detection
【要点】本研究介绍了Ultralytics YOLO26的关键架构增强和性能基准测试,突出了其在边缘设备实时物体检测中的效率、准确性和部署灵活性,确立了其在YOLO系列中的里程碑地位。
【方法】研究通过端到端的NMS-free推理、去除分布式焦点损失(DFL)、引入ProgLoss和小目标感知标签分配(STAL)以及采用受大型语言模型训练启发的MuSGD优化器,对YOLO26进行了架构创新。
【实验】
- 提出面向端侧的全新 YOLO26 架构,并完成关键模块重构
- 设计面向稳定训练与小目标检测的新训练机制
- 构建系统化的端侧性能基准,并验证跨设备部署能力
Ultralytics YOLO Evolution: an Overview of YOLO26, YOLO11, YOLOv8 and YOLOv5 Object Detectors for Computer Vision and Pattern Recognition
【要点】本文全面概述了Ultralytics YOLO系列目标检测器的发展历程,重点介绍了YOLO26、YOLO11、YOLOv8和YOLOv5的结构演进、性能基准、部署前景及未来挑战,创新点包括 Distribution Focal Loss removal、NMS-free inference等技术的应用。
【方法】文章通过对比分析各版本的YOLO检测器,探讨了其架构创新、性能提升及优化策略。
【创新点】
- 系统性梳理 Ultralytics YOLO 家族的架构演进与设计取向
- 统一比较多代 YOLO 与其他 SOTA 模型的性能–效率折中
- 面向工程部署给出导出、量化与应用场景的综述与展望
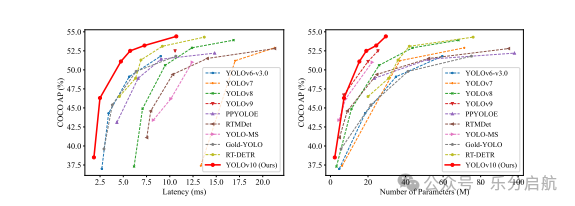
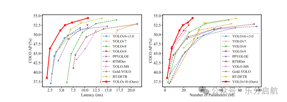
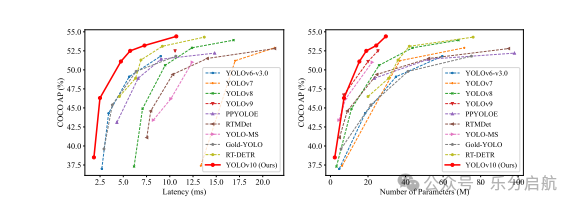
3.YOLOv10: Real-Time End-to-End Object Detection
【要点】本文提出了一种新型实时端到端目标检测模型YOLOv10,通过优化模型架构和去NMS训练策略,实现了更高的性能效率平衡。
【方法】研究者在YOLOs的模型架构和训练后处理策略上进行创新,引入了一致的二次分配方法以实现无NMS训练,并采用整体效率-精度驱动的模型设计策略,全面优化了YOLOs的各个组件。
【创新点】
- 提出一致性双标签分配(consistent dual assignments),实现 NMS-free 端到端训练
- 建立“效率–精度联合驱动”的整体模型设计策略
- 在多尺度上刷新实时检测的效率–性能前沿
4.DETRs Beat YOLOs on Real-time Object Detection
【要点】本文提出了RT-DETR,一种首个实现实时端到端对象检测的Transformer-based模型,有效解决了YOLO系列因NMS导致的速度和精度损失问题。
【方法】通过设计高效的混合编码器来快速处理多尺度特征,并引入不确定性最小化查询选择以提高初始查询质量,同时支持通过调整解码器层数实现灵活的速度调整。
【创新点】
- 提出首个面向实时的端到端 DETR:RT-DETR
- 设计高效混合编码器(efficient hybrid encoder)提升多尺度特征处理效率
- 提出不确定性最小查询选择(uncertainty-minimal query selection)并支持灵活速度调节
5.YOLO-MS: Rethinking Multi-Scale Representation Learning for Real-time Object Detection
【要点】本文提出了一种名为YOLO-MS的实时物体检测器,其核心设计基于不同卷积核大小对物体不同尺度检测性能的影响研究,形成了一种新策略以增强实时物体检测器的多尺度特征表示,该方法不依赖ImageNet等大规模预训练数据集,且在参数和FLOPs数量相当的情况下性能优于现有实时物体检测算法。
【方法】研究采用了基于不同卷积核大小的系列实验,以探究它们对多尺度物体检测性能的影响,并通过新策略整合这些卷积核大小以构建YOLO-MS网络架构。
【创新点】
- 系统重新审视卷积核大小与目标尺度的关系,提出新的多尺度表示策略
- 构建 YOLO-MS 架构,在纯 COCO 训练下取得更优的性能–复杂度折中
- 提出可插拔的多尺度增强模块,可迁移到其他 YOLO 系列中
扫码回复【yolo】领取论文合集
乐分启航作为一家 专注前沿领域 的论文辅导机构,汇聚全球 顶尖名校AI博士、博士后及研究员 ,为你提供 从0到1的全流程深度辅导 ,助你快速实现SCI论文突破!
(同时,我们坚决杜绝代写、代发!)
无论你是希望走 学术保研 ;还是打算 出国留学 ,想get 国内外名校offer ;亦或是学术经历空白,想通过SCI论文 提升学术竞争力 ;或者想 评国家奖学金或者个人荣誉 ;又或者想在 职场晋升 上加一把力;
都可以根据你的需求和背景条件, 匹配 合适的 老师,定制专属于你的学习计划,满足你的个性化需求 。
乐分启航提供完善的服务保障,让每一位同学可以放心、安心学习,不必为其他事情分心。
▼
你的下一篇论文,就从这里开始吧!
👇现在扫码预约1次免费评估👇
❤文末福利❤
「多模态课程免费领取」
