不懂线性代数,何以高效处理高维数据?
本文将从
向量与矩阵
、行列式与线性方程组、特征值与特征向量
三个方面,带 您一文搞懂人工智能数学基础(中): 线性代数。
线性代数
一、 向量与矩阵
向量的本质: 将非数字符号进行编码得到量化表示,用于方便计算机处理数据并计算距离、相似度等。
向量的本质
向量正逐步崭露头角,有望成为AI时代的数据交换标准,类似于互联网时代广泛使用的JSON(JavaScript Object Notation)。
向量的定义: 向量是一组有序的数字(标量),用于在多维空间中表示数据点或特征。
向量的定义
向量的运 算: 向量的加减法、向量的数乘
- 向量的加减法
向量的加减法
- 向量的数乘
向量的数乘
矩阵的本质: 通过点积运算来刻画两向量的相似度和方向关系。
矩阵的本质
矩阵的定义: 矩阵是数值的矩形阵列,由行列构成,元素位置固定。
矩阵的定义
矩阵的运算: 矩阵的加减法、矩阵的数乘、矩阵的乘法
- 矩阵的加减法
矩阵的加减法
- 矩阵的数乘
矩阵的数乘
- 矩阵的乘法
矩阵的乘法
二、
行列式与线性方程组
行列式: n阶行列式表示一个数字
N阶行列式结构
N阶行列式是N阶矩阵元素按特定规则计算得到的标量值,而N阶矩阵是由N行N列元素组成的矩形数组。
N阶行列式定义
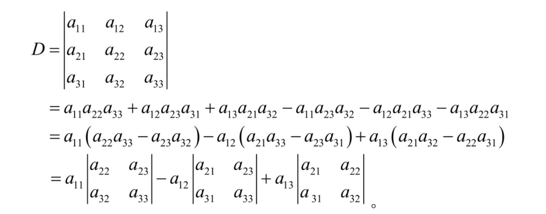
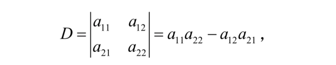
行列式的计算: 对角线法则进行计算
- 2阶行列式
2阶行列式
- 3阶行列式
3阶行列式
线性方程组 : 一组包含一个或多个未知数的线性方程的集合。
- 线性方程组的一般形式
线性方程组的一般形式
- 线性方程组的矩阵形式
线性方程组的矩阵形式
- 齐次线性方程组
齐次 线性方程组
- 线性方程组的初等变换
线性方程组的计算:
线性方程组的计算
三、
特征值与特征向量
特征值与特征向量 : 特征值反映了矩阵的伸缩变换程度,而特征向量则指明了矩阵变换的方向。
特征值与特征向量
特征多项式与特征方程 :特征多项式通过特征矩阵的行列式得到,用于求解特征值的方程。
特征多项式 与 特征方程
构造特征多项式: 通过将矩阵的特征值代入行列式并展开得到的多项式。
构造特征多项式
求解特征多项式 : 计算矩阵的行列式,并将特征值代入行列式表达式中,通过代数运算得到多项式方程。
求解特征多项式
