点击下方 卡片 ,关注“ 自动驾驶技术网 ”公众号
技术干货,即可获取
编者荐语:
关注自动驾驶技术网,回复“行人检测数据” ,免费领取大规模数据集(持续更新)。
1. 简介
一般来说,已经提出了一些提高交通场景中雷达性能的方法,主要可分为两类:(1)围绕信号处理方向,尽可能减少或消除干扰信号,以保证目标信号的纯度。(2)设计更好的探测器。
在干扰信号抑制领域,将干扰污染的样本从信号中剔除是最直接的干扰抑制方法。尽管如此,它也会抑制目标的部分有效信号,导致有用信号的切口样本重建精度降低。为了缓解这种影响,该文提出一种基于迭代矩阵-铅笔(MP)方法的干扰抑制外推法。但重建信号的精度会随着污染样品比例的增加而降低。为了提高信号重构精度,该文提出一种基于汉克尔矩阵稀疏低秩分解的方法但是,迭代和最佳质量选择增加了算法的复杂性。为了处理雷达间干扰,提出了一些新方法,例如设计一种新的正交噪声波形或在可调Q因子小波变换(TQWT)域中提出干扰抑制技术。此外,一些研究人员已经开始从距离和多普勒细胞迁移校准开始,以减少信号失真。
设计更好的探测器是提高雷达应用能力的另一个方向。与信号干扰抑制相比,虽然雷达探测性能的提升较弱,但探测器的设计更为直接。特别是,在大多数情况下,它不会增加额外的链接和计算复杂性,这更适合具有低性能处理器的低成本雷达系统。所以是从探测器设计的角度来看。在雷达的实际应用中,目标总是出现在复杂多变的噪声背景之前,受时间和位置变化的影响,因此固定阈值检测方法无法有效地将目标与背景噪声区分开来。雷达常数误报率(CFAR)检测,通过评估当前杂波环境自适应设置检测阈值,是分离目标和背景的关键技术。因此,适当的CFAR检测算法可以提高雷达探测性能,为雷达数据处理提供准确的目标信息。它也成为雷达探测的一个关键研究方面。
最早提出的CFAR检测算法是细胞平均CFAR(CA-CFAR)。这是基于平均局部噪声功率水平来检测目标。设计一个参考窗口,以窗口的中心单元为候选目标,用窗口中其他单元的幅值累积值作为背景噪声功率的估计值。目标是否存在是通过判断候选目标的功率值和估计的噪声功率值来确定的。CA-CFAR在非均匀噪声和多目标环境下的检测性能较差,因为参考窗口内的干扰信号或其他目标会导致背景噪声估计误差。针对多目标或非均匀噪声下CA-CFAR检测性能下降的问题,最大选择检测(GO-CFAR)和最小选择检测 (SO-CFAR)被提议。GO-CFAR在杂乱边缘环境下可以保持良好的虚警控制性能,但在多目标环境下会出现“目标屏蔽”。SO-CFAR具有良好的多目标分辨能力,但其虚警控制能力较弱。有序统计 CFAR (OS-CFAR)是数字图像处理中另一种典型的CFAR检测方法,源自中值滤波器概念。它根据功率值排列参考窗口中的采样单元,并选择其中一个样本功率值作为决策阈值。与CA-CFAR的检测性能相比,OS-CFAR对多目标检测具有较强的鲁棒性,但产生的CFAR损失较高。提出了一些结合OS和CA的新方法。采用修整均值检测器 (TM-CFAR)以算法为例。参考窗口中的采样点按振幅值排序,如 OS-CFAR。然后去除具有最大和最小振幅的部分采样点。最后,将剩余的采样点平均为背景噪声的估计值。
现在,针对不同的应用需求,已经提出了基于传统方法的CFAR检测算法。一些学者致力于研究探测器的多目标探测能力。例如,提出OSCA-CFAR算法,将CA-CFAR算法和OS-CFAR算法相结合,提高毫米波雷达的多目标探测能力,给出理想噪声环境下的算法性能仿真。一些研究人员专注于提高探测器在复杂集群环境中的检测性能。根据中心极限定理和信号对数压缩原理,提出了一种Comp-CFAR方法,用于具有长拖尾效应特性的杂波中目标检测。基于zlog(z)的CFAR检测器降低威布尔杂波误报率。其他一些学者提出了一种结合机器学习的新方法。在包含 CFAR 滑动窗口输入和输出的数据集上训练前馈人工神经网络 (ANN),以提高 CFAR 检测的效率。但是,这种方式增加了算法的复杂性。
表 1 简要总结了上述 CFAR 检测算法。目前所有CFAR算法都通过设计参考窗口并处理窗口中的数据来实现目标检测。参考窗的设计可以有效降低杂波干扰水平,但有两个缺点。一是滑动窗口会降低检测物体的效率。特别是在线性调频连续波(LFMCW)雷达系统中,CFAR探测器的输入是二维距离多普勒矩阵(RDM)。虽然CFAR算法的原理没有改变,但参考窗口的滑动已经从一维滑动搜索转变为二维滑动搜索,大大降低了雷达目标探测的实时性。另一个缺点是窗口限制了背景噪声估计的采样点。理论上,使用的采样点越多,估计的噪声功率值越准确,CFAR检测精度越高。参考窗口的设计和滑动限制了雷达目标检测的效率。
表 1. 简要总结了 CFAR 算法的特征。
幸运的是,与海面等复杂的背景环境相比,交通道路上的背景噪音相对简单。特别是当雷达监测运动目标时,使用去零多普勒方法可以消除背景噪声数据对检测的影响。结合非理想目标运动(车辆转弯、制动和变道)、目标反射区域的不规则性以及帧数据的独立性,认为交通道路上的运动目标回波服从理想的Swerling II模型。基于上述分析,对于背景噪声相对干净的道路交通监控应用,可能不需要为复杂噪声和干扰降低而设计的参考窗口。相反,滑动窗口增加了算法的时间复杂度并降低了雷达监控的效率。为满足交通监测雷达系统低处理时延的要求,提出一种基于蒙特卡罗的CFAR算法,以提高交通环境下雷达探测效率和对运动目标的灵敏度。与传统算法相比,该算法具有更高的检测灵敏度,更重要的是不需要参考窗口的设计和滑动,大大降低了算法的时间复杂度,提高了检测速度和效率。贡献总结如下:首先,在所提出的CFAR检测算法中,对整个RDM矩阵区域进行随机采样,得到当前时刻背景噪声功率估计的采样点;该原理是将蒙特卡罗模拟原理(通过独立重复实验获得未知量的性质)转换为RDM矩阵域的随机抽样。这种方式突破了参考窗口的限制,可以增加大量的采样点进行背景噪声估计。其次,干扰点滤波方法提高了背景噪声估计的精度。根据采样点的振幅值对采样点进行排序和过滤,以去除可能的目标点或干扰点。然后,通过均值法得到背景噪声估计的功率值。最后,通过背景噪声估计提取RDM矩阵中的目标点。此外,给出了算法的参数设置方法,例如,根据当前的物理平台和应用环境,通过反复统计得到算法参数值。配置参数过程只需在雷达系统环境不变时执行一次。仿真和实际实验表明,与传统方法相比,该方法具有更高的检测灵敏度、更高的检测精度和更低的检测延迟,提高了交通监控中的雷达探测效率。
2. 交通场景
通常,交通传感器安装在道路两侧或延伸到道路中心的固定支架上(如图1 所示),并且要求它们具有以下基本功能:
图1. 交通道路场景。
-
检测灵敏度高。视野中的所有目标都可以完全检测到,包括目标的部分遮挡;
-
低信息延迟能力。它可以实时反映路况,即要求数据采集与路况输出之间的延迟尽可能短(理想情况下,延迟不应超过100毫秒);
-
耐候性。传感器应尽量减少夜间、雾和其他天气造成的影响。
毫米波雷达被认为具有用于城市交通监测的潜力,因为不受环境影响,具有高范围分辨率和低应用成本。CFAR探测器作为雷达目标提取的重要组成部分,已经得到了广泛的研究。通过研究传统的CFAR算法,分析交通环境的特点,给出了一种新的CFAR检测算法,以提高雷达对目标检测的灵敏度、多目标检测能力,降低时延,希望为增强雷达在城市交通监测中的适应性提供独特的参考。
3. 交通场景雷达背景噪声分析
基于雷达芯片(CAL77S244)的射频前端具有三个发射天线和四个接收天线,用于发射毫米波和接收目标回波信号。此外,四通道高速ADC用于数据采集。最后,在基于FPGA和ARM架构的后端基带处理系统上实现数字处理算法和目标信息的提取。数据采集场景和雷达系统如图2 所示。
图2. (a ) 雷达系统。(b ) 数据收集方案。
图3显示了背景噪声数据收集和显示。图3a是持续误报检测数据采集的流程图。在该雷达系统中,四个接收通道接收背景环境中雷达的电磁回波,并通过非相干累积获得RDM矩阵。图3b显示了在没有移动目标的条件下RDM的功率幅度分布。功率幅值在零多普勒区域(静止物体区域)中突然且不均匀,这是由不同距离的物体数量和物体反射区域的大小等因素共同造成的。初步观察表明,噪声功率均匀分布在非零多普勒域(运动目标区域),无明显突变。此外,静止物体的功率不会显著扩展到移动目标所在的区域。
图3. (a ) RDM数据采集过程。(b ) 数据收集方案。
采用距离维数和速度维数数据方差作为测量数据离散度的有效方法,评估RDM矩阵中移动目标区域噪声功率幅值的分布。它计算了 RDM 中数据集的每一行(速度维度)或列(距离维度)的方差,如图 4 所示(多个统计量的平均值)。值得注意的是,在计算方差之前,以行人的平均速度为参考(0.5 m/s),消除了RDM矩阵中静态物体所在的像元,例如速度低于0.5 m/s的像元。速度维数方差和距离维数方差均小于0.018,可以认为背景噪声功率幅值在非零多普勒域中相对均匀。
图4. RDM 矩阵中的背景噪声幅度色散 (a ) 范围方向上的噪声幅度方差。(b ) 多普勒方向的噪声幅度变化。
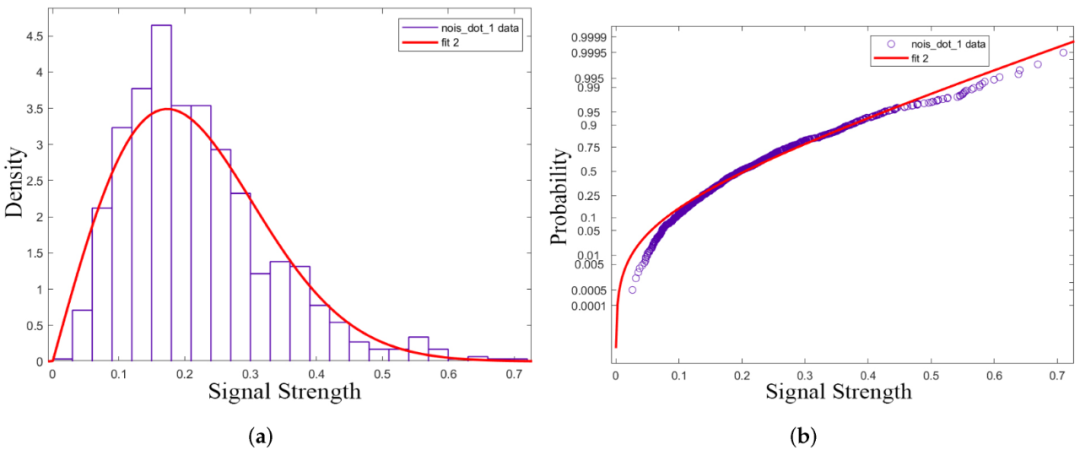
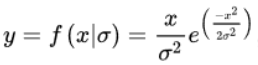
功率密度分布是背景噪声的另一个特征。以前,假设雷达噪声分布满足瑞利分布:
RDM中的非零多普勒细胞通过MATLAB分布拟合工具箱进行采样处理,然后数据分布(紫色)和瑞利分布(红色)的拟合曲线如图5a 所示。图5b 显示了数据概率分布与瑞利分布之间的匹配度,即数据越接近曲线,它与瑞利分布的一致性越大。
图5. RDM矩阵噪声密度函数仿真拟合实验实例 (a )噪声分布曲线。(b ) 瑞利分布的匹配度。
