- 什么是插值
最近在做时间序列预测时,在突增或者突降的变化剧烈的情况下,拟合参数的效果不好,有用到插值的算法补全一些数据来平滑剧烈变化过程。还有在图像处理中,也经常有用到插值算法来改变图像的大小,在图像超分(Image Super-Resolution)中上采样也有插值的身影。
插值(interpolation),顾名思义就是插入一些新的数据,当然这些值是根据已有数据生成。插值算法有很多经典算法, 本文分享如下:
•线性插值 •双线性插值 •双三次插值bicubic interpolation
- 插值算法原理和实现
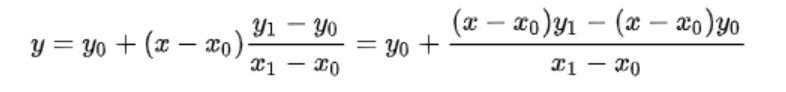
2.1 线性插值
线性插值是最简单的插值算法。如下图已知(x0, y0) (x1, y1),在x处插值一点(x, y)。
可以通过简单几何知识来推出公式
实现上直接套公式,如果想插值多个点,可以利用线性回归的方式。
import os
import numpy as np
from sklearn.linear_model import LinearRegression
def linear_interpolation(data, inter_num=4):
clf = LinearRegression()
X = np.array([[1], [inter_num+2]])
y = data
clf.fit(X, y)
inter_values = clf.predict(np.array([ [i+2] for i in range(inter_num)]))
return inter_values
data = [[10], [20]]
linear_interpolation(data, 1)
# array([[15.]])
def manual_linear_interpolation(x0, y0, x1, y1, x):
return y0+(x-x0)*(y1-y0)/(x1-x0)
manual_linear_interpolation(1, 10, 3, 20, 2)
# 15.0
线性插值算法经常用在平滑数据上,也用在缺失值预处理中。
2.2 双线性插值
双线性插值是在两个方向上同时进行线性插值,经常用在图像处理中。双线性插值是已知2*2个点,插值生成一个点的过程。
如下图所示,双线性插值已知(x0, y1)(x0, y0)(x1, y1)(x1, y0)4个点,插值计算(x, y)。
•先插值生成(x, y1)(x, y0)
•在插值生成(x, y)
import cv2
lean_img = cv2.imread('./lena.jpg')
lena_x2 = cv2.resize(lean_img, (0, 0), fx=2, fy=2, interpolation=cv2.INTER_LINEAR)
2.3 双三次插值
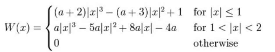
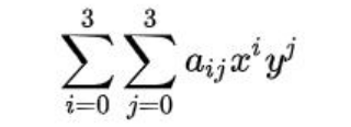
双线性插值利用22个点插值生成一个新的点,而双三次插值利用44个点来插值一个新的点。插值的过程就是如何估计aij, aij可以认为是16个点对插值点的影响因子。
影响因子设计来自于Cubic Convolution Interpolation For Digital Image Processing,
以下为Bicubic函数
import cv2
lean_img = cv2.imread('./lena.jpg')
lena_x2_cubic = cv2.resize(lean_img, (0, 0), fx=2, fy=2, interpolation=cv2.INTER_CUBIC)
左边为双线性插值,右边有双三次插值,可以看出双三次插值效果好,双线性插值更平滑一点,清晰度不足。
- 总结
本文介绍了三种常见的插值算法以及在数字图像处理中的应用。总结如下:
•线性插值:通过2点插值新的点,可以利用线性回归计算插值点 •双线性插值:通过4个点插值新的点 •双三次插值:通过16个点插值新的点,插值权重利用bicubic函数
作者简介:wedo实验君, 数据分析师;热爱生活,热爱写作
赞 赏 作 者
点击下方阅读原文加入 社区会员
