XGBoost是梯度提升集成算法的强大而有效的实现。配置XGBoost模型的超参数可能具有挑战性,这通常会导致使用既费时又计算量大的大型网格搜索实验。配置XGBoost模型的另一种方法是在训练过程中算法的每次迭代评估模型的性能,并将结果绘制为学习曲线。这些学习曲线图提供了一种可以解释的诊断工具,并建议对模型超参数进行特定更改,从而可能会改善预测性能。
在本教程中,您将发现如何在Python中绘制和解释XGBoost模型的学习曲线。完成本教程后,您将知道:
- 学习曲线为了解诸如XGBoost之类的监督学习模型的训练动态提供了有用的诊断工具。
- 如何配置XGBoost来评估每次迭代的数据集并将结果绘制为学习曲线。
- 如何解释和使用学习曲线图来改善XGBoost模型的性能。
教程概述
本教程分为四个部分。他们是:
- 极端梯度提升
- 学习曲线
- 绘制XGBoost学习曲线
- 使用学习曲线调整XGBoost模型
极端梯度提升
梯度提升是指一类集成机器学习算法,可用于分类或回归预测建模问题。集成是根据决策树模型构建的。一次将一棵树添加到集合中,并进行调整以纠正由先前模型造成的预测误差。这是一种集成机器学习模型,称为Boosting。使用任何任意的微分损失函数和梯度下降优化算法对模型进行拟合。这给该技术起了名字,称为“梯度提升”,因为随着模型的拟合,损耗梯度被最小化,非常类似于神经网络。
Extreme Gradient Boosting(简称XGBoost)是梯度提升算法的一种有效的开源实现。因此,XGBoost是一个算法,一个开源项目和一个Python库。它最初是由Tianqi Chen开发的,并由Chen和Carlos Guestrin在其2016年的论文“ XGBoost:可扩展的树增强系统”中进行了描述。它被设计为既计算效率高(例如执行速度快)又高效,也许比其他开源实现更有效。使用XGBoost的两个主要原因是执行速度和模型性能。在分类和回归预测建模问题上,XGBoost主导结构化或表格数据集。证据表明,它是Kaggle竞争数据科学平台上竞赛获胜者的首选算法。
现在我们已经了解了XGBoost是什么以及为什么它很重要,让我们仔细研究一下学习曲线。
学习曲线
通常,学习曲线是在x轴上显示时间或经验并在y轴上显示学习或改善的图。
学习曲线广泛用于机器学习中的算法,这些算法会随着时间的推移逐步学习(优化其内部参数),例如深度学习神经网络。用于评估学习的指标可能会最大化,这意味着分数越高(数字越大)表示学习越多。一个例子是分类精度。
更常见的是使用最小化的分数,例如损失或错误,其中分数越高(数字越小)表示学习越多,而值0.0指示训练数据集学习得很好,并且没有犯错误。
在机器学习模型的训练过程中,可以评估训练算法每个步骤的模型当前状态。可以在训练数据集上对其进行评估,以了解模型的“学习程度”。也可以在不属于训练数据集的保留验证数据集上对其进行评估。通过对验证数据集进行评估,可以了解模型的“一般化”程度。
在训练数据集和验证数据集上进行训练时,通常会为机器学习模型创建双重学习曲线。学习曲线的形状和动态可用于诊断机器学习模型的行为,并进而建议可以进行配置更改的类型以改善学习和/或性能。
您可能会在学习曲线中观察到三种常见的动态变化;他们是:
- 欠拟合
- 过拟合
- 拟合适中
最常见的是,学习曲线用于诊断模型的过拟合行为,可以通过调整模型的超参数来解决。
过度拟合是指对训练数据集学习得太好的模型,包括统计噪声或训练数据集中的随机波动。过度拟合的问题在于,模型对训练数据的专业化程度越高,将其推广到新数据的能力就越差,从而导致推广误差增加。泛化误差的增加可以通过验证数据集上模型的性能来衡量。
现在我们已经熟悉了学习曲线,让我们看一下如何绘制XGBoost模型的学习曲线。
绘制XGBoost学习曲线
在本节中,我们将绘制XGBoost模型的学习曲线。
首先,我们需要一个数据集作为拟合和评估模型的基础。在本教程中,我们将使用合成的二进制(两类)分类数据集。
make\_classification()scikit-learn函数可用于创建综合分类数据集。在这种情况下,我们将使用50个输入要素(列)并生成10,000个样本(行)。伪随机数生成器的种子是固定的,以确保每次生成样本时都使用相同的基本“问题”。
下面的示例生成综合分类数据集,并汇总生成数据的形状。
1. `# test classification dataset`
2. `from sklearn.datasets import make_classification`
3. `# define dataset`
4. `X, y = make_classification(n_samples=10000, n_features=50, n_informative=50, n_redundant=0, random_state=1)`
5. `# summarize the dataset`
6. `print(X.shape, y.shape)`
运行示例将生成数据并报告输入和输出组件的大小,从而确认期望的形状。
1. `(
10000
,
50
)
(
10000
,)`
接下来,我们可以在该数据集上拟合XGBoost模型,并绘制学习曲线。首先,我们必须将数据集分成一个部分,该部分将用于训练模型(训练),另一部分将不用于训练模型,但将被保留下来并用于评估模型的每一步训练 算法(测试集或验证集)。
1. `# split data into train and test sets`
2. `X_train, X_test, y_train, y_test = train_test_split(X, y, test_size=0.50, random_state=1)`
然后,我们可以使用默认超参数定义XGBoost分类模型。
1. `# define the model`
2. `model = XGBClassifier()`
接下来,可以将模型拟合到数据集上。在这种情况下,我们必须向训练算法指定要在训练集上评估模型性能的算法,并在每次迭代时(例如,在将每棵新树添加到集合中之后)对测试集进行测试。为此,我们必须指定要评估的数据集和要评估的指标。数据集必须指定为元组列表,其中每个元组都包含数据集的输入和输出列,并且列表中的每个元素都是要评估的不同数据集,例如 训练集和测试集。
1. `# define the datasets to evaluate each iteration`
2. `evalset = [(X_train, y_train), (X_test,y_test)]`
我们可能要评估许多指标,尽管考虑到这是分类任务,但我们将评估模型的对数损失(交叉熵),这是最小化的得分(值越低越好)。
这可以通过在调用fit()时指定“ evalmetric”参数并为其提供指标名称来实现,我们将评估“ logloss”。我们还可以通过“ evalset”参数指定要评估的数据集。fit()函数按照常规将训练数据集作为前两个参数。
1. `# fit the model`
2. `model.fit(X_train, y_train, eval_metric='logloss', eval_set=evalset)`
一旦模型适合,我们就可以将其性能评估为测试数据集上的分类准确性。
1. `# evaluate performance`
2. `yhat = model.predict(X_test)`
3. `score = accuracy_score(y_test, yhat)`
4. `print('Accuracy: %.3f' % score)`
然后,我们可以通过调用 evals\_result()函数来检索为每个数据集计算的指标。
1. `# retrieve performance metrics`
2. `results = model.evals_result()`
这将返回一个字典,该字典首先按数据集(“ validation0”和“ validation1”)进行组织,然后按度量标准(“ logloss”)进行组织。我们可以为每个数据集创建度量的折线图。
1. `# plot learning curves`
2. `pyplot.plot(results['validation_0']['logloss'], label='train')`
3. `pyplot.plot(results['validation_1']['logloss'], label='test')`
4. `# show the legend`
5. `pyplot.legend()`
6. `# show the plot`
7. `pyplot.show()`
就是这样。综合所有这些,下面列出了在综合分类任务上拟合XGBoost模型并绘制学习曲线的完整示例。
1. `# plot learning curve of an xgboost model`
2. `from sklearn.datasets import make_classification`
3. `from sklearn.model_selection import train_test_split`
4. `from sklearn.metrics import accuracy_score`
5. `from xgboost import XGBClassifier`
6. `from matplotlib import pyplot`
7. `# define dataset`
8. `X, y = make_classification(n_samples=10000, n_features=50, n_informative=50, n_redundant=0, random_state=1)`
9. `# split data into train and test sets`
10. `X_train, X_test, y_train, y_test = train_test_split(X, y, test_size=0.50, random_state=1)`
11. `# define the model`
12. `model = XGBClassifier()`
13. `# define the datasets to evaluate each iteration`
14. `evalset = [(X_train, y_train), (X_test,y_test)]`
15. `# fit the model`
16. `model.fit(X_train, y_train, eval_metric='logloss', eval_set=evalset)`
17. `# evaluate performance`
18. `yhat = model.predict(X_test)`
19. `score = accuracy_score(y_test, yhat)`
20. `print('Accuracy: %.3f' % score)`
21. `# retrieve performance metrics`
22. `results = model.evals_result()`
23. `# plot learning curves`
24. `pyplot.plot(results['validation_0']['logloss'], label='train')`
25. `pyplot.plot(results['validation_1']['logloss'], label='test')`
26. `# show the legend`
27. `pyplot.legend()`
28. `# show the plot`
29. `pyplot.show()`
运行示例符合XGBoost模型,检索计算的指标并绘制学习曲线。
注意:由于算法或评估程序的随机性,或者数值精度的差异,您的结果可能会有所不同。考虑运行该示例几次并比较平均结果。
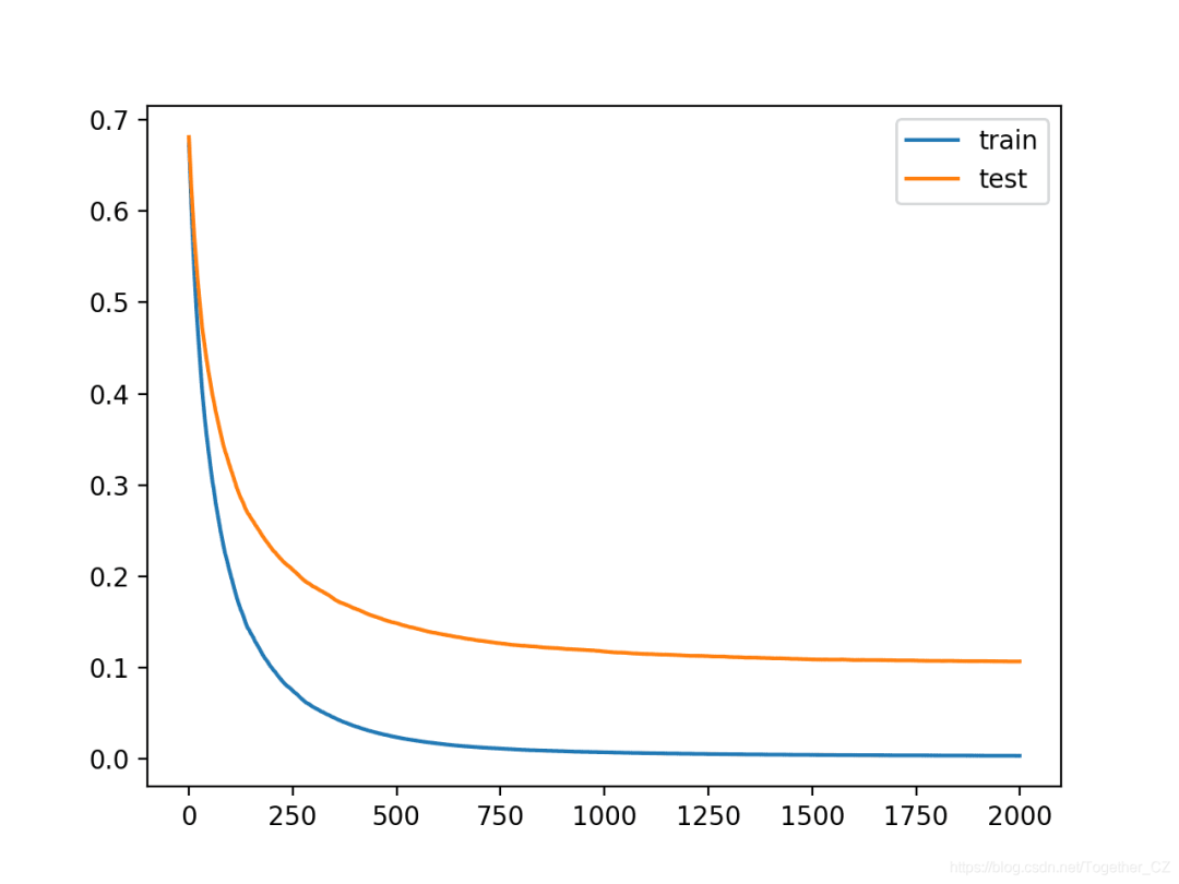
首先,报告了模型性能,表明该模型在保留测试集上实现了约94.5%的分类精度。
1. `Accuracy
:
0.945`
该图显示了训练和测试数据集的学习曲线,其中x轴是算法的迭代次数(或添加到集合中的树数),y轴是模型的对数损失。每行显示给定数据集每次迭代的对数损失。从学习曲线上,我们可以看到,训练数据集上的模型性能(蓝线)比测试数据集上的模型性能(橙线)更好或更具有更低的损失,正如我们通常期望的那样。
现在,我们知道了如何为XGBoost模型绘制学习曲线,让我们看看如何使用这些曲线来改善模型性能。
使用学习曲线调整XGBoost模型
我们可以将学习曲线用作诊断工具。可以解释这些曲线并将其用作建议对模型配置进行特定更改的基础,这些更改可能会导致更好的性能。上一节中的模型和结果可以用作基线和起点。查看该图,我们可以看到两条曲线都在向下倾斜,这表明更多的迭代(添加更多的树)可能会导致损耗进一步降低。让我们尝试一下。我们可以通过默认为100的“ n_estimators”超参数来增加算法的迭代次数。让我们将其增加到500。
1. `# define the model`
2. `model = XGBClassifier(n_estimators=500)`
完整实例如下:
1. `# plot learning curve of an xgboost model`
2. `from sklearn.datasets import make_classification`
3. `from sklearn.model_selection import train_test_split`
4. `from sklearn.metrics import accuracy_score`
5. `from xgboost import XGBClassifier`
6. `from matplotlib import pyplot`
7. `# define dataset`
8. `X, y = make_classification(n_samples=10000, n_features=50, n_informative=50, n_redundant=0, random_state=1)`
9. `# split data into train and test sets`
10. `X_train, X_test, y_train, y_test = train_test_split(X, y, test_size=0.50, random_state=1)`
11. `# define the model`
12. `model = XGBClassifier(n_estimators=500)`
13. `# define the datasets to evaluate each iteration`
14. `evalset = [(X_train, y_train), (X_test,y_test)]`
15. `# fit the model`
16. `model.fit(X_train, y_train, eval_metric='logloss', eval_set=evalset)`
17. `# evaluate performance`
18. `yhat = model.predict(X_test)`
19. `score = accuracy_score(y_test, yhat)`
20. `print('Accuracy: %.3f' % score)`
21. `# retrieve performance metrics`
22. `results = model.evals_result()`
23. `# plot learning curves`
24. `pyplot.plot(results['validation_0']['logloss'], label='train')`
25. `pyplot.plot(results['validation_1']['logloss'], label='test')`
26. `# show the legend`
27. `pyplot.legend()`
28. `# show the plot`
29. `pyplot.show()`
运行示例可以拟合并评估模型,并绘制模型性能的学习曲线。
注意:由于算法或评估程序的随机性,或者数值精度的差异,您的结果可能会有所不同。考虑运行该示例几次并比较平均结果。
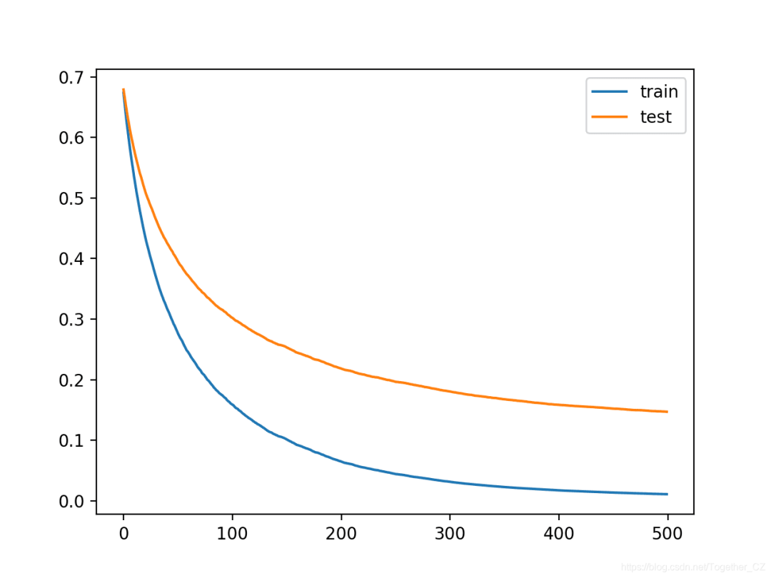
我们可以看到,更多的迭代导致准确性从大约94.5%提升到大约95.8%。
1. `Accuracy
:
0.958`
从学习曲线中我们可以看到,确实,算法的其他迭代导致曲线继续下降,然后在经过150次迭代后趋于平稳,并保持在合理的水平。
较长的平坦曲线可能表明该算法学习速度过快,并且放慢速度可能会受益。这可以使用学习率来实现,该学习率限制了添加到集合中的每棵树的贡献。可以通过“ eta”超参数进行控制,默认值为0.3。我们可以尝试较小的值,例如0.05。
1. `# define the model`
2. `model = XGBClassifier(n_estimators=500, eta=0.05)`
完整实例如下:
1. `# plot learning curve of an xgboost model`
2. `from sklearn.datasets import make_classification`
3. `from sklearn.model_selection import train_test_split`
4. `from sklearn.metrics import accuracy_score`
5. `from xgboost import XGBClassifier`
6. `from matplotlib import pyplot`
7. `# define dataset`
8. `X, y = make_classification(n_samples=10000, n_features=50, n_informative=50, n_redundant=0, random_state=1)`
9. `# split data into train and test sets`
10. `X_train, X_test, y_train, y_test = train_test_split(X, y, test_size=0.50, random_state=1)`
11. `# define the model`
12. `model = XGBClassifier(n_estimators=500, eta=0.05)`
13. `# define the datasets to evaluate each iteration`
14. `evalset = [(X_train, y_train), (X_test,y_test)]`
15. `# fit the model`
16. `model.fit(X_train, y_train, eval_metric='logloss', eval_set=evalset)`
17. `# evaluate performance`
18. `yhat = model.predict(X_test)`
19. `score = accuracy_score(y_test, yhat)`
20. `print('Accuracy: %.3f' % score)`
21. `# retrieve performance metrics`
22. `results = model.evals_result()`
23. `# plot learning curves`
24. `pyplot.plot(results['validation_0']['logloss'], label='train')`
25. `pyplot.plot(results['validation_1']['logloss'], label='test')`
26. `# show the legend`
27. `pyplot.legend()`
28. `# show the plot`
29. `pyplot.show()`
运行示例可以拟合并评估模型,并绘制模型性能的学习曲线。
注意:由于算法或评估程序的随机性,或者数值精度的差异,您的结果可能会有所不同。考虑运行该示例几次并比较平均结果。
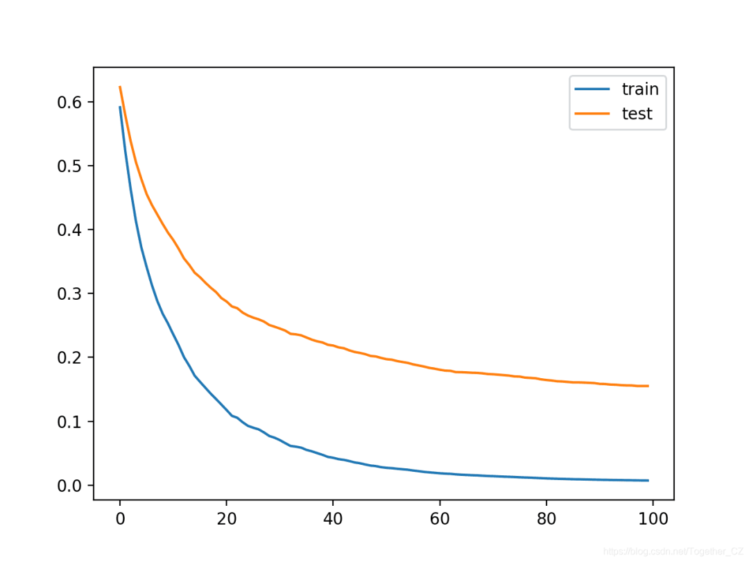
我们可以看到较小的学习率使准确度变差,从 大约95.8%下降到大约95.1%。
1. `Accuracy
:
0.951`
从学习曲线我们可以看出,学习确实在放慢脚步。曲线表明我们可以继续添加更多的迭代,并且可能会获得更好的性能,因为曲线将有更多机会继续降低。
让我们尝试将迭代次数从500增加到2,000。
1. `# define the model`
2. `model = XGBClassifier(n_estimators=2000, eta=0.05)`
完整实例如下:
1. `# plot learning curve of an xgboost model`
2. `from sklearn.datasets import make_classification`
3. `from sklearn.model_selection import train_test_split`
4. `from sklearn.metrics import accuracy_score`
5. `from xgboost import XGBClassifier`
6. `from matplotlib import pyplot`
7. `# define dataset`
8. `X, y = make_classification(n_samples=10000, n_features=50, n_informative=50, n_redundant=0, random_state=1)`
9. `# split data into train and test sets`
10. `X_train, X_test, y_train, y_test = train_test_split(X, y, test_size=0.50, random_state=1)`
11. `# define the model`
12. `model = XGBClassifier(n_estimators=2000, eta=0.05)`
13. `# define the datasets to evaluate each iteration`
14. `evalset = [(X_train, y_train), (X_test,y_test)]`
15. `# fit the model`
16. `model.fit(X_train, y_train, eval_metric='logloss', eval_set=evalset)`
17. `# evaluate performance`
18. `yhat = model.predict(X_test)`
19. `score = accuracy_score(y_test, yhat)`
20. `print('Accuracy: %.3f' % score)`
21. `# retrieve performance metrics`
22. `results = model.evals_result()`
23. `# plot learning curves`
24. `pyplot.plot(results['validation_0']['logloss'], label='train')`
25. `pyplot.plot(results['validation_1']['logloss'], label='test')`
26. `# show the legend`
27. `pyplot.legend()`
28. `# show the plot`
29. `pyplot.show()`
运行示例可以拟合并评估模型,并绘制模型性能的学习曲线。
注意:由于算法或评估程序的随机性,或者数值精度的差异,您的结果可能会有所不同。考虑运行该示例几次并比较平均结果。
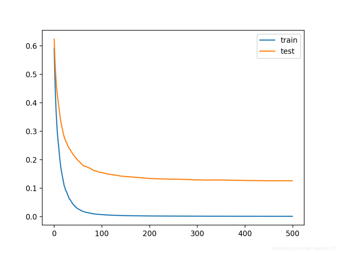
我们可以看到,更多的迭代使算法有更多的改进空间,达到了96.1%的准确性,是迄今为止最好的。
1. `Accuracy
:
0.961`
学习曲线再次显示出算法的稳定收敛,且急剧下降且长时间展平。
我们可以重复降低学习率和增加迭代次数的过程,以查看是否有可能进一步改进。减慢学习速度的另一种方法是以减少样本数和特征(行和列)的数量的形式添加正则化,以用于构造整体中的每棵树。在这种情况下,我们将尝试通过“子样本”和“ colsample_bytree”超参数分别将样本和特征的数量减半。
1. `# define the model`
2. `model = XGBClassifier(n_estimators=2000, eta=0.05, subsample=0.5, colsample_bytree=0.5)`
完整实例如下:
1. `# plot learning curve of an xgboost model`
2. `from sklearn.datasets import make_classification`
3. `from sklearn.model_selection import train_test_split`
4. `from sklearn.metrics import accuracy_score`
5. `from xgboost import XGBClassifier`
6. `from matplotlib import pyplot`
7. `# define dataset`
8. `X, y = make_classification(n_samples=10000, n_features=50, n_informative=50, n_redundant=0, random_state=1)`
9. `# split data into train and test sets`
10. `X_train, X_test, y_train, y_test = train_test_split(X, y, test_size=0.50, random_state=1)`
11. `# define the model`
12. `model = XGBClassifier(n_estimators=2000, eta=0.05, subsample=0.5, colsample_bytree=0.5)`
13. `# define the datasets to evaluate each iteration`
14. `evalset = [(X_train, y_train), (X_test,y_test)]`
15. `# fit the model`
16. `model.fit(X_train, y_train, eval_metric='logloss', eval_set=evalset)`
17. `# evaluate performance`
18. `yhat = model.predict(X_test)`
19. `score = accuracy_score(y_test, yhat)`
20. `print('Accuracy: %.3f' % score)`
21. `# retrieve performance metrics`
22. `results = model.evals_result()`
23. `# plot learning curves`
24. `pyplot.plot(results['validation_0']['logloss'], label='train')`
25. `pyplot.plot(results['validation_1']['logloss'], label='test')`
26. `# show the legend`
27. `pyplot.legend()`
28. `# show the plot`
29. `pyplot.show()`
运行示例可以拟合并评估模型,并绘制模型性能的学习曲线。
注意:由于算法或评估程序的随机性,或者数值精度的差异,您的结果可能会有所不同。考虑运行该示例几次并比较平均结果。
我们可以看到,添加正则化带来了进一步的改进,将准确性从大约96.1%提高到了大约96.6%。
1. `Accuracy: 0.966`
曲线表明正则化减慢了学习速度,也许增加迭代次数可能会导致进一步的改进。
教程
- A Gentle Introduction to the Gradient Boosting Algorithm for Machine Learning
- Extreme Gradient Boosting (XGBoost) Ensemble in Python
- How to use Learning Curves to Diagnose Machine Learning Model Performance
- Avoid Overfitting By Early Stopping With XGBoost In Python
APIs
-
xgboost.XGBClassifier API.
-
xgboost.XGBRegressor API.
-
XGBoost: Learning Task Parameters
作 者: 沂水寒城,CSDN博客专家,个人研究方向: 机器学习、深度学习、NLP、CV
Blog: http://yishuihancheng.blog.csdn.net
赞 赏 作 者
点击下方阅读原文加入 社区会员
