推荐可分为以下四个流程,分别是召回、粗排、精排以及重排:
- 召回是源头,在某种意义上决定着整个推荐的天花板;
- 粗排是初筛,一般不会上复杂模型;
- 精排是整个推荐环节的重中之重,在特征和模型上都会做的比较复杂;
- 重排,一般是做打散或满足业务运营的特定强插需求,同样不会使用复杂模型;
- 召回层 :召回解决的是从海量候选item中召回千级别的item问题
- 统计类,热度,LBS;
- 协同过滤类,UserCF、ItemCF;
- U2T2I,如基于user tag召回;
- I2I类,如Embedding(Word2Vec、FastText),GraphEmbedding(Node2Vec、DeepWalk、EGES);
- U2I类,如DSSM、YouTube DNN、Sentence Bert;
- 模型类 :模型类的模式是将用户和item分别映射到一个向量空间,然后用向量召回,这类有itemcf,usercf,embedding(word2vec),Graph embedding(node2vec等),DNN(如DSSM双塔召回,YouTubeDNN等),RNN(预测下一个点击的item得到用户emb和item emb);向量检索可以用Annoy(基于LSH),Faiss(基于矢量量化)。此外还见过用逻辑回归搞个预估模型,把权重大的交叉特征拿出来构建索引做召回
- 排序策略 ,learning to rank 流程三大模式(pointwise、pairwise、listwise),主要是特征工程和CTR模型预估;
- CTR预估 :lr,gbdt,fm及其变种(fm是一个工程团队不太强又对算法精度有一定要求时比较好的选择),widedeep,deepfm,NCF各种交叉,DIN,BERT,RNN
- 多目标 :MOE,MMOE,MTL(多任务学习)
- 打分公式融合 : 随机搜索,CEM(性价比比较高的方法),在线贝叶斯优化(高斯过程),带模型CEM,强化学习等
- 常见的特征挖掘(user、item、context,以及相互交叉);
- 粗排层 :本质上跟精排类似,只是特征和模型复杂度上会精简,此外也有将精排模型通过蒸馏得到简化版模型来做粗排
- 精排层 :精排解决的是从千级别item到几十这个级别的问题
- 重排层 :重排层解决的是展示列表总体最优,模型有 MMR,DPP,RNN系列(参考阿里的globalrerank系列)
- 展示层 :
- 推荐理由 :统计规则、行为规则、抽取式(一般从评论和内容中抽取)、生成式;排序可以用汤普森采样(简单有效),融合到精排模型排等等
- 首图优选 :CNN抽特征,汤普森采样
- 探索与利用 :随机策略(简单有效),汤普森采样,bandit,强化学习(Q-Learning、DQN)等
- 产品层 :交互式推荐、分tab、多种类型物料融合
粗排与精排就像级联漏斗,两者目标更多保持同向一致性,粗排就是跟精排保持步调一致。如果粗排排序高的,精排排序也高,那么粗排就很好的完成了“帮助精排缓冲”的目的。而rerank环节类似于排序改判:可能涉及业务调整、打散、强插、增量分等等。
Learning to Rank (LTR)是一类技术方法,主要利用机器学习算法解决实际中的排序问题。传统的机器学习主要解决的问题是一个分类或者回归问题,比如对一个样本数据预测对应的类别或者预测一个数值分值。而LTR解决的是一个排序问题,对一个list的item进行一个排序,所以LTR并不太关注这个list的每个item具体得多少分值,更关注所有item的相对顺序。排序通常是信息检索的核心成分,所以LTR最常见的应用是搜索场景,对召回的document进行排序。
1.1 精排应用场景
排序学习场景:
- 推荐系统,基于历史行为的“猜你喜欢”
- 搜索排序,基于某Query进行的结果排序,期望用户选中的在排序结果中是靠前的 => 有意识的被动推荐
- 排序结果都很重要,猜用户想要点击或者booking的item就在结果列表前面
- 排序学习是个性化结果,用于搜索列表、推荐列表、广告等场景
1.2 常用模型
排序模型按照结构划分,可以分为线性排序模型、树模型、深度学习模型: 从早期的线性模型LR,到引入自动二阶交叉特征的FM和FFM,到非线性树模型GBDT和GBDT+LR,到最近全面迁移至大规模深度学习排序模型。
- 线性排序模型:LR
- 树模型:GBDT,GBDT+LR, LambdaMART
- 深度学习模型: DeepFM,Wide&Deep, ListNet, AdaRank,SoftRank,LambdaRank等
在这里插入图片描述
序模型按照样本生成方法和损失函数loss的不同,可以划分成Pointwise, Pairwise, Listwise三类方法:
- Pointwise排序学习(单点法) :
- 将训练样本转换为多分类 问题(样本特征-类别标记)或者回归问题(样本特征-连续值)
- 只考虑单个样本的好坏,没有考虑样本之间的顺序
- Pairewise排序学习(配对法 ):
- 比较流行的LTR学习方法,将排序问题转换为二元分类问题
- 接收到用户査询后,返回相关文档列表,确定文档之间的先后顺序关系(多个pair的排序问题),只考虑了两个文档的相对顺序,没有考虑文档在搜索列表中的位置。
- Listwise排序学习 (列表法):
- 它是将每个Query对应的所有搜索结果列表作为一个训练样例
- 根据训练样例训练得到最优评分函数F,对应新的查询,评分F对每个文档打分,然后根据得分由高到低排序,即为最终的排序结果
在这里插入图片描述
2.1 pointwise
pointwise将其转化为多类分类或者回归问题
Pointwise 类方法,其 L2R 框架具有以下特征:
- 输入空间中样本是单个 doc(和对应 query)构成的特征向量;
- 输出空间中样本是单个 doc(和对应 query)的相关度;
- 假设空间中样本是打分函数;
- 损失函数评估单个 doc 的预测得分和真实得分之间差异。
这里讨论下,关于人工标注标签怎么转换到 pointwise 类方法的输出空间:
- 如果标注直接是相关度 ,则 的真实标签定义为
- 如果标注是 pairwise preference ,则 的真实标签可以利用该 doc 击败了其他 docs 的频次
- 如果标注是整体排序 π,则 的真实标签可以利用映射函数,如将 doc 的排序位置序号当作真实标签
2.1.1 算法简介
根据使用的 ML 方法不同,pointwise 类可以进一步分成三类:基于回归的算法、基于分类的算法,基于有序回归的算法。下面详细介绍。
- 基于回归的算法 此时,输出空间包含的是实值相关度得分。 采用 ML 中传统的回归方法即可。
- 基于分类的算法 此时,输出空间包含的是无序类别。 对于二分类,SVM、LR 等均可;对于多分类,提升树等均可。
- 基于有序回归的算法 此时,输出空间包含的是有序类别。 通常是找到一个打分函数,然后用一系列阈值对得分进行分割,得到有序类别。采用 PRanking、基于 margin 的方法都可以。
2.1.2 ponitwise 细则
pointwise方法损失函数计算只与单个document有关,本质上是训练一个分类模型或者回归模型,判断这个document与当前的这个query相关程度,最后的排序结果就是从模型对这些document的预测的分值进行一个排序。对于pointwise方法,给定一个query的document list,对于每个document的预测与其它document是独立的。所以模型输入和对应的标签label形式如下:
- 输入: 单个document
- 标签label: document所属类型或者分值 pointwise方法将排序任务看做对单个文本的回归或者分类任务来做。若文档document的相关性等级有K种,则我们可以建模为一个有K个类别的的Multi-class分类任务,则 一个k维度的one-hot表示, 我们可以用交叉熵loss作为目标损失函数:
在这里插入图片描述
在这里插入图片描述
参考链接:https://zhuanlan.zhihu.com/p/528533867
2.1.3 Pointwise排序学习(单点法)总结:
- 将文档转化为特征向量,每个文档都是独立的
- 对于某一个query,它将每个doc分别判断与这个query的相关程度
- 将docs排序问题转化为了分类(比如相关、不相关)或回归问题(相关程度越大,回归函数的值越大)
- 从训练数据中学习到的分类或者回归函数对doc打分,打分结果即是搜索结果,CTR可以采用Pointwise方式进行学习,对每一个候选item给出一个评分,基于评分进行排序
- 仅仅考虑了query和doc之间的关系,而没有考虑排序列表中docs之间的关系
- 主要算法:转换为回归问题,使用LR,GBDT,Prank, McRank
缺陷
- ranking 追求的是排序结果,并不要求精确打分,只要有相对打分即可。
- pointwise 类方法并没有考虑同一个 query 对应的 docs 间的内部依赖性。一方面,导致输入空间内的样本不是 IID 的,违反了 ML 的基本假设,另一方面,没有充分利用这种样本间的结构性。其次,当不同 query 对应不同数量的 docs 时,整体 loss 将会被对应 docs 数量大的 query 组所支配,前面说过应该每组 query 都是等价的。
- 损失函数也没有 model 到预测排序中的位置信息。因此,损失函数可能无意的过多强调那些不重要的 docs,即那些排序在后面对用户体验影响小的 doc。
改进
- Pointwise 类算法也可以再改进,比如在 loss 中引入基于 query 的正则化因子的 RankCosine 方法。
2.2 pairwise
pairwise将其转化为pair分类问题
Pairwise 类方法,其 L2R 框架具有以下特征:
- 输入空间中样本是(同一 query 对应的)两个 doc(和对应 query)构成的两个特征向量;
- 输出空间中样本是 pairwise preference;
- 假设空间中样本是二变量函数;
- 损失函数评估 doc pair 的预测 preference 和真实 preference 之间差异。 这里讨论下,关于人工标注标签怎么转换到 pairwise 类方法的输出空间:
- 如果标注直接是相关度 ,则 doc 的真实标签定义为
- 如果标注是 pairwise preference ,则 doc 的真实标签定义为
- 如果标注是整体排序 π,则 doc 的真实标签定义为ππ
2.2.1 算法简介
- 基于二分类的算法 pairwise 类方法基本就是使用二分类算法即可。 经典的算法有 基于 NN 的 SortNet,基于 NN 的 RankNet,基于 fidelity loss 的 FRank,基于 AdaBoost 的 RankBoost,基于 SVM 的 RankingSVM,基于提升树的 GBRank。
2.2.2 pairwise细则
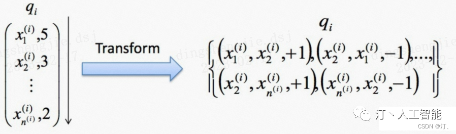
基于pairwise的方法,在计算目标损失函数的时候,每一次需要基于一个pair的document的预测结果进行损失函数的计算。比如给定一个pair对的document,优化器需要优化的是两个document的排序关系,与groud truth的排序顺序保持一致。目标是最小化与groud truth不一致的排序对。在实际应用中,pairwise方法比pointwise效果更好,因为预测相对的排序相比预测一个类别或者一个分值,更符合排序的性质。其中模型输入和对应的标签label形式如下:
- 输入: 一个pair对document (A,B)
- 输出标签: 相对顺序label (1, 0.5, 0)
其中1表示相关性等级A>B,0.5表示相关性等级A=B,0表示相关性等级A<B。
在这里插入图片描述
2.2.3 Pairewise排序学习(配对法)总结:
- 比较流行的LTR学习方法,将排序问题转换为二元分类问题
- 接收到用户査询后,返回相关文档列表,确定文档之间的先后顺序关系(多个pair的排序问题)
- 对于同一查询的相关文档集中,对任何两个不同label的文档,都可以得到一个训练实例(),如果则赋值+1,反之-1
- 没有考虑文档出现在搜索列表中的位置,排在搜索结果前面的文档更为重要,如果靠前的文档出现判断错误,代价会很高
1. 缺点: 虽然 pairwise 类相较 pointwise 类 model 到一些 doc pair 间的相对顺序信息,但还是存在不少问题,回顾概述中提到的评估指标应该基于 query 和 position,
- 如果人工标注给定的是第一种和第三种,即已包含多有序类别,那么转化成 pairwise preference 时必定会损失掉一些更细粒度的相关度标注信息。
- doc pair 的数量将是 doc 数量的二次,从而 pointwise 类方法就存在的 query 间 doc 数量的不平衡性将在 pairwise 类方法中进一步放大。
- pairwise 类方法相对 pointwise 类方法对噪声标注更敏感,即一个错误标注会引起多个 doc pair 标注错误。
- pairwise 类方法仅考虑了 doc pair 的相对位置,损失函数还是没有 model 到预测排序中的位置信息。
- pairwise 类方法也没有考虑同一个 query 对应的 doc pair 间的内部依赖性,即输入空间内的样本并不是 IID 的,违反了 ML 的基本假设,并且也没有充分利用这种样本间的结构性。
2. 改进 pairwise 类方法也有一些尝试,去一定程度解决上述缺陷,比如:
- Multiple hyperplane ranker,主要针对前述第一个缺陷
- magnitude-preserving ranking,主要针对前述第一个缺陷
- IRSVM,主要针对前述第二个缺陷
- 采用 Sigmoid 进行改进的 pairwise 方法,主要针对前述第三个缺陷
- P-norm push,主要针对前述第四个缺陷
- Ordered weighted average ranking,主要针对前述第四个缺陷
- LambdaRank,主要针对前述第四个缺陷
- Sparse ranker,主要针对前述第四个缺陷
2.3 listwise
Listwise 类方法,其 L2R 框架具有以下特征:
- 输入空间中样本是(同一 query 对应的)所有 doc(与对应的 query)构成的多个特征向量(列表);
- 输出空间中样本是这些 doc(和对应 query)的相关度排序列表或者排列;
- 假设空间中样本是多变量函数,对于 docs 得到其排列,实践中,通常是一个打分函数,根据打分函数对所有 docs 的打分进行排序得到 docs 相关度的排列;
- 损失函数分成两类,一类是直接和评价指标相关的,还有一类不是直接相关的。具体后面介绍。
这里讨论下,关于人工标注标签怎么转换到 listwise 类方法的输出空间:
- 如果标注直接是相关度,则 doc set 的真实标签可以利用相关度 进行比较构造出排列
- 如果标注是 pairwise preference ,则 doc set 的真实标签也可以利用所有 进行比较构造出排列
- 如果标注是整体排序 π,则 doc set 则可以直接得到真实标签
2.3.1 算法简介
- 直接基于评价指标的算法
直接取优化 ranking 的评价指标,也算是 listwise 中最直观的方法。但这并不简单,因为前面说过评价指标都是离散不可微的,具体处理方式有这么几种:
- 优化基于评价指标的 ranking error 的连续可微的近似,这种方法就可以直接应用已有的优化方法,如SoftRank,ApproximateRank,SmoothRank
- 优化基于评价指标的 ranking error 的连续可微的上界,如 SVM-MAP,SVM-NDCG,PermuRank
- 使用可以优化非平滑目标函数的优化技术,如 AdaRank,RankGP
上述方法的优化目标都是直接和 ranking 的评价指标有关。现在来考虑一个概念,informativeness。通常认为一个更有信息量的指标,可以产生更有效的排序模型。而多层评价指标(NDCG)相较二元评价(AP)指标通常更富信息量。因此,有时虽然使用信息量更少的指标来评估模型,但仍然可以使用更富信息量的指标来作为 loss 进行模型训练。
通过直接优化排序结果中的评测指标来优化排序任务,但是基于评测指标比如NDCG依赖排序结果,是不连续不可导的。所以优化这些不连续不可导的目标函数面临较大的挑战,目前多数优化技术都是基于函数可导的情况。那么如何解决这个问题?常见的有如下两种方法:
- 通过使用优化技术将目标函数转变成连续可导的函数,然后进行求解,比如SoftRank和 AdaRank等模型
- 通过使用优化技术对非连续的不可导目标函数就行求解,比如 LambdaRank
LambdaRank RankNet优化目标是最小化pair对错误,但是在信息检索领域比如NDCG这样的评测指标,这样的优化目标并不能够最大化效果,通常在信息检索中我们更关注的是topN的排序结果,且相关性越大的文本最需要排在最前面。如下图所示:给定一个query,上图为排序结果展示,其中蓝色的线表示的是相关的文档,灰色的线表示不相关的文档,那么在左图,有13个pair对错误,而在右图中,有11个pair对错误,在RankNet,右图的排序结果要比左图好,但是在信息检索指标中,比如NDCG指标,左图的效果比右边更好。
我们在上面介绍RankNet中,将上述(1)(2)公式代人到(3)公式中,我们可以得到损失函数如下:
详细内容不展开参考博客:https://blog.csdn.net/BGoodHabit/article/details/122382750 4.1.1节
LambdaMART
参考上述博客4.1.2节
- 非直接基于评价指标的算法(定义损失函数) 这里,不再使用和评价指标相关的 loss 来优化模型,而是设计能衡量模型输出与真实排列之间差异的 loss,如此获得的模型在评价指标上也能获得不错的性能。 经典的如 ,ListNet,ListMLE,StructRank,BoltzRank。
ListNet ListNet与RankNet很相似,RankNet是用pair对文本排序顺序进行模型训练,而ListNet用的是整个list文本排序顺序进行模型训练。若训练样本中有m个query,假如对应需要排序的最多文本数量为n ,则RankNet的复杂度为而ListNet的复杂度为,所以整体来说在训练过程中ListNet相比RankNet更高效。
ListMLE ListMLE也是基于list计算损失函数,论文对learning to rank算法从函数凸性,连续性,鲁棒性等多个维度进行了分析,提出了一种基于最大似然loss的listwise排序算法,取名为ListMLE。
上述参考博客:4.2.2节
2.3.2 Listwise细则
2.3.3 Listwise排序学习(列表法)总结:
- 它是将每个Query对应的所有搜索结果列表作为一个训练样例
- 根据训练样例训练得到最优评分函数F,对应新的查询,评分F对每个文档打分,然后根据得分由高到低排序,即为最终的排序结果
- 直接考虑整体序列,针对Ranking评价指标(比如MAP, NDCG)进行优化
- 主要算法:ListNet, AdaRank,SoftRank,LambdaRank, LambdaMART等LambdaMART是对RankNet和LambdaRank的改进,在 Yahoo Learning to Rank Challenge比赛中的冠军模型
listwise 类相较 pointwise、pairwise 对 ranking 的 model 更自然,解决了 ranking 应该基于 query 和 position 问题。
listwise 类存在的主要缺陷是 :一些 ranking 算法需要基于排列来计算 loss,从而使得训练复杂度较高,如 ListNet和 BoltzRank。此外,位置信息并没有在 loss 中得到充分利用,可以考虑在 ListNet 和 ListMLE 的 loss 中引入位置折扣因子。
2.4 三类方法代表汇总
wiki有很全的三类方法代表:
2019 FastAP [30] listwise Optimizes Average Precision to learn deep embeddings
2019 Mulberry listwise & hybrid Learns ranking policies maximizing multiple metrics across the entire dataset
2019 DirectRanker pairwise Generalisation of the RankNet architecture
2019 GSF [31] listwise A permutation-invariant multi-variate ranking function that encodes and ranks items with groupwise scoring functions built with deep neural networks.
2020 RaMBO[32] listwise Optimizes rank-based metrics using blackbox backpropagation[33]
2020 PRM [34] pairwise Transformer network encoding both the dependencies among items and the interactions
between the user and items
2020 SetRank [35] listwise A permutation-invariant multi-variate ranking function that encodes and ranks items with self-attention networks.
2021 PiRank [36] listwise Differentiable surrogates for ranking able to exactly recover the desired metrics and scales favourably to large list sizes, significantly improving internet-scale benchmarks.
2022 SAS-Rank listwise Combining Simulated Annealing with Evolutionary Strategy for implicit and explicit learning to rank from relevance labels
2022 VNS-Rank listwise Variable Neighborhood Search in 2 Novel Methodologies in AI for Learning to Rank
2022 VNA-Rank listwise Combining Simulated Annealing with Variable Neighbourhood Search for Learning to Rank
2.5 评估指标
2.5.1 WTA(Winners take all)
2.5.2 MRR(Mean Reciprocal Rank)
2.5.3 RC(Rank Correlation)
2.5.4 MAP (Mean Average Precision)
2.5.5 NDCG (Normalized Discounted Cumulative Gain)
2.5.6 小结
可以发现,这些评估指标具备两大特性:
- 基于 query ,即不管一个 query 对应的 docs 排序有多糟糕,也不会严重影响整体的评价过程,因为每组 query-docs 对平均指标都是相同的贡献。
- 基于 position ,即显式的利用了排序列表中的位置信息,这个特性的副作用就是上述指标是离散不可微的。 一方面,这些指标离散不可微,从而没法应用到某些学习算法模型上;另一方面,这些评估指标较为权威,通常用来评估基于各类方式训练出来的 ranking 模型。因此,即使某些模型提出新颖的损失函数构造方式,也要受这些指标启发,符合上述两个特性才可以。
