【NLP.TM】
本栏目是结合我最近上的课,和我最近的研究方向,自然语言处理和文本挖掘而设计的,会讲一些和自然语言处理以及文本挖掘相关的内容,欢迎大家关注和交流!
往期回顾:
- 【陋室推荐】| 2018-4-13
- 【陋室推荐】| 2018-4-27
- 案例 | 鸢尾花案例之必须说在前面的话
- Tensorflow入坑指南
- 【NLP.TM】情感(观点)分析
- 【NLP.TM】信息抽取
在进行自然语言处理中,需要对文章的中的语义进行分析,于是迫切需要一些模型去描述词汇的含义,很多人可能都知道word2vector算法,诚然,word2vector是一个非常优秀的算法,并且被广泛运用,为人们熟知,然而,从结果的优劣性来看,其实word2vector并非唯一的优秀方案,斯坦福大学提出的GloVe就是其中之一。今天我来为大家介绍一下GloVe模型,但是重点,还是放在实现上。
原论文:http://www.eecs.wsu.edu/~sji/classes/DL16/CNN-text/glove.pdf
简单地说一下原理
这里的原理我主要参考了两篇博客,感谢两位优秀的博主。
前者会比较通俗,后者则比较深刻。
共现关系
和word2vector不同,GloVe更倾向于进行分析前后语境之间的共现关系,通过共现关系抽象出词向量。
所谓的共现,共同出现,其实就是看一个词有没有在另一个词的附近出现,所谓的附近,其实就是一个移动窗口的概念,定义窗口的半径(从中心词到边缘的距离)后,看看方圆多少范围内出现词的个数,就是共现,现在看看例子。
假设语料库就只有下面一行:
i love you but you love him i am sad
设半径为2,于是移动窗口的滑动就有下面的形式:
以窗口5为例,此处就可以认为,love分别和but, you, him, i共同出现了一次,通过这种方式去计数,就能知道任意两个词之间的共现关系(一般是可逆的),构成共现矩阵X,一般地,X是一个对称矩阵。
词向量的产生
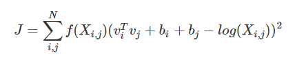
首先,模型的损失函数长这样的:
vi和vj是词汇i和j的词向量,bi和bj是常数项,f是特定的权重函数,N是词汇表大小。
这个损失函数怎么来的,我觉得上面的第一个链接讲的非常清楚,看的时候注意一个核心,就是考虑两个词汇的共现关系与词向量之间的关系(映射)尽可能接近,于是就构造了上面的损失函数。
GloVe的Python实现
在pypi里面看到了很多GloVe的包,但是很多都有坑,我直接说一个我自己已经走通的包mittens。
下载方式还是比较简单的,
pip install mittens
基本没什么问题,想要去看看源码的话,在这里:
一般而言GloVe按照计算共现矩阵和GloVe训练两大模块,而mittens里面其实只提供了后者,前者还是需要自己写,这是我写的部分内容,给大家详细讲讲(复杂度啥的基本没做什么优化,欢迎提出一些意见)。
共现矩阵的计算
将之前事先说明一下,现在读进来的数据,即代码中的“data”变量,每行不是对应的单词或者短语,而是已经对应在词典中的该短语的index(自己构建词典,一般设置为0-(N-1),N为词典中词语的个数),尤其在后面的cooccurrence的统计,即如果句子数组中的第i个词语是词典中的第j个词,则句子向量中第i个位置就是数字j,这种方式对cooccurrence的统计非常方便。
1. `# 构建空的词表`
2. `coWindow = 3 # 共现窗口大小(半径)`
3. `tableSize = 1000 # 共现矩阵维度`
4. `cooccurrence = np.zeros((tableSize, tableSize),"int64")`
首先是数据初始化,这里不详细说数据载入了,但是共现矩阵当然是需要初始化的(np是numpy别忘了)。
1. `# 开始统计`
2. `flag = 0`
3. `for item in data:`
4. `itemInt = [int(x) for x in item]`
5. `for core in range(1, len(item)):`
6. `if core <= coWindow + 1:`
7. `# 左窗口不足`
8. `window = itemInt[1:core + coWindow + 1]`
9. `coreIndex = core - 1`
10. `cooccurrence = countCOOC(cooccurrence, window, coreIndex)`
11.
12. `elif core >= len(item) - 1 - coWindow:`
13. `# 右窗口不足`
14. `window = itemInt[core - coWindow:(len(item))]`
15. `coreIndex = coWindow`
16. `cooccurrence = countCOOC(cooccurrence, window, coreIndex)`
17.
18. `else:`
19. `# 左右均没有问题`
20. `window = itemInt[core - coWindow:core + coWindow + 1]`
21. `coreIndex = coWindow`
22. `cooccurrence = countCOOC(cooccurrence, window, coreIndex)`
23.
24. `flag = flag + 1`
25. `if flag % 1000 == 0:`
26. `endTime = datetime.datetime.now()`
27. `print("已经计算了%s条数据,用时%s" % (flag, endTime - startTime))`
这一块里面主要是为了设置移动窗口来进行挪动识别,具体统计移动窗口内部的共现,是在countCOOC函数里面做的。
1. `def countCOOC(cooccurrence, window, coreIndex):`
2. `# cooccurrence:当前共现矩阵`
3. `# window:当前移动窗口数组`
4. `# coreIndex:当前移动窗口数组中的窗口中心位置`
5. `for index in range(len(window)):`
6. `if index == coreIndex:`
7. `continue`
8. `else:`
9. `cooccurrence[window[coreIndex]][window[index]] = cooccurrence[window[coreIndex]][window[index]] + 1`
10. `return cooccurrence`
countCOOC用来当前移动窗口的共现,一个一个计数即可。
GloVe的训练
1. `# 包的引入`
2. `from mittens import GloVe`
3. `# 初始化模型`
4. `vecLength=100 # 矩阵长度`
5. `max_iter=100000 # 最大迭代次数`
6. `display_progress=1000 # 每次展示`
7. `glove_model = GloVe(n=vecLength, max_iter=max_iter, display_progress=display_progress)`
8.
9. `# 模型训练与结果输出`
10. `embeddings = glove_model.fit(coocMatric)`
引入包之后,配置相应的参数,然后可以开始训练,训练完的返回值embeddings就是得到的词向量词典,通过词向量词典,就能够将每篇文本的每一个单词转化为词向量,从而进行进一步分析。
小结
GloVe终于写完了,不知道大家觉得怎么样,关于原理写的人相对比较多,也理解的比我好我就不再解释了,而代码这块,网上写的不多,所以我写得详细一些,这也是我把结果写出来的核心代码,有什么问题我来回答,后台提问即可。
