背景
在机器学习模型的性能评估中,ROC曲线和AUC(曲线下面积)是常用的工具,它们能清晰展示模型的分类能力,但是一般ROC曲线展示的AUC值不会去展示置信区间,但是带有95%置信区间的ROC曲线在医学研究中非常常见,因为它能够更科学地体现模型的诊断性能以及不确定性范围
代码实现
数据读取
import pandas as pd
import numpy as np
from sklearn.model_selection import train_test_split
import matplotlib.pyplot as plt
import matplotlib.ticker as ticker
plt.rcParams['font.family'] = 'Times New Roman'
plt.rcParams['axes.unicode_minus'] = False
# 读取数据
df = pd.read_excel('2024-11-21公众号Python机器学习AI.xlsx')
# 划分特征和目标变量
X = df.drop(['y'], axis=1)
y = df['y']
X_train, X_test, y_train, y_test = train_test_split(X, y, test_size=0.2,
random_state=42, stratify=df['y'])
从Excel文件中读取二分类数据,将数据划分为特征(X)和目标变量(y),然后按80%训练集和20%测试集的比例进行分层抽样拆分,为后续机器学习建模做好准备
logistic模型ROC曲线绘制
from sklearn.linear_model import LogisticRegression
from sklearn.metrics import roc_curve, auc, roc_auc_score
model = LogisticRegression(max_iter=1200)
model.fit(X_train, y_train)
# 预测概率
y_score = model.predict_proba(X_test)[:, 1]
# 计算 ROC 曲线
fpr_logistic, tpr_logistic, _ = roc_curve(y_test, y_score)
roc_auc_logistic = auc(fpr_logistic, tpr_logistic)
# 绘制 ROC 曲线
plt.figure(dpi=1200)
plt.plot(fpr_logistic, tpr_logistic, color='darkorange', lw=2, label='ROC curve (area = %0.2f)' % roc_auc_logistic)
plt.plot([0, 1], [0, 1], color='navy', lw=2, linestyle='--')
# 调整显示范围,增加边距
plt.xlim([-0.02, 1.02]) # 左右两侧各增加一点边距
plt.ylim([-0.02, 1.02]) # 上下各增加一点边距
plt.xlabel('1 - Specificity')
plt.ylabel('Sensitivity')
plt.title('Receiver Operating Characteristic')
plt.legend(loc="lower right")
plt.savefig('Logistic_roc_curve.pdf', format='pdf', bbox_inches='tight')
plt.show()
使用Logistic回归模型进行训练和预测,通过计算假阳性率和真阳性率绘制最常见的ROC曲线,并标注AUC值(不含95%置信区间),主要用于演示基本的ROC曲线绘制方法
AUC95% 置信区间函数定义
from math import sqrt
# 定义函数:计算 AUC 及其 95% 置信区间
def roc_auc_ci(y_true, y_score, positive=1):
AUC = roc_auc_score(y_true, y_score)
# 统计正类和负类的样本数
N1 = sum(y_true == positive)
N2 = sum(y_true != positive)
Q1 = AUC / (2 - AUC) # Q1 是 AUC 在正类样本上的一个调整量
Q2 = 2 * AUC**2 / (1 + AUC) # Q2 是 AUC 在负类样本上的一个调整量
# 计算 AUC 的标准误差
SE_AUC = sqrt((AUC * (1 - AUC) + (N1 - 1) * (Q1 - AUC**2) + (N2 - 1) * (Q2 - AUC**2)) / (N1 * N2))
# 计算 95% 置信区间的下限和上限
lower = AUC - 1.96 * SE_AUC # 下限:AUC - 1.96 * 标准误差
upper = AUC + 1.96 * SE_AUC # 上限:AUC + 1.96 * 标准误差
# 修正置信区间边界,确保在 [0, 1] 范围内
if lower < 0:
lower = 0
if upper > 1:
upper = 1
return (AUC, lower, upper)
通过计算AUC值及其标准误差,可以推导出95%置信区间,用于评估模型区分正负样本能力的稳定性和可靠性。当然,除了标准误差法外,还可以采用Bootstrap方法计算置信区间,当样本量较大且数据分布平衡时,标准误差法因其快速高效是更优选择;而当样本量较小、不平衡或需要更灵活的分布假设时,Bootstrap方法因其稳健性更适用,但计算量更大, 不同计算方法可能会导致置信区间结果略有差异,应根据具体需求选择适用方法
logistic模型带有置信区间的ROC曲线绘制
# 预测概率
y_score = model.predict_proba(X_test)[:, 1]
# 计算 ROC 曲线
fpr, tpr, _ = roc_curve(y_test, y_score)
# 计算 AUC 和置信区间
roc_auc, lower_ci, upper_ci = roc_auc_ci(y_test, y_score)
plt.figure(dpi=1200)
plt.plot(fpr, tpr, color='darkorange', lw=2,
label='ROC curve (AUC = %0.2f 95%% CI[%0.2f, %0.2f])' % (roc_auc, lower_ci, upper_ci))
plt.plot([0, 1], [0, 1], color='navy', lw=2, linestyle='--')
plt.xlim([-0.02, 1.02])
plt.ylim([-0.02, 1.02])
plt.xlabel('1 - Specificity')
plt.ylabel('Sensitivity')
plt.title('Receiver Operating Characteristic with 95% CI')
plt.legend(loc="lower right")
plt.savefig('Logistic_roc_with_ci.pdf', format='pdf', bbox_inches='tight')
plt.show()
通过Logistic回归模型预测结果计算ROC曲线,并绘制包含AUC值及其95%置信区间的ROC图,以直观展示模型分类性能及其稳定性
一个画布下绘制多个机器学习 带有置信区间的 的ROC曲线
from sklearn.ensemble import RandomForestClassifier
from sklearn.svm import SVC
import xgboost as xgb
# 训练和计算 Logistic Regression 的结果
model.fit(X_train, y_train)
y_score_logistic = model.predict_proba(X_test)[:, 1]
fpr_logistic, tpr_logistic, _ = roc_curve(y_test, y_score_logistic)
roc_auc_logistic, lower_logistic, upper_logistic = roc_auc_ci(y_test, y_score_logistic)
# 训练 XGBoost
xgb_model = xgb.XGBClassifier(use_label_encoder=False, eval_metric='logloss')
xgb_model.fit(X_train, y_train)
y_score_xgb = xgb_model.predict_proba(X_test)[:, 1]
fpr_xgb, tpr_xgb, _ = roc_curve(y_test, y_score_xgb)
roc_auc_xgb, lower_xgb, upper_xgb = roc_auc_ci(y_test, y_score_xgb)
# 训练 SVM
svm_model = SVC(probability=True)
svm_model.fit(X_train, y_train)
y_score_svm = svm_model.predict_proba(X_test)[:, 1]
fpr_svm, tpr_svm, _ = roc_curve(y_test, y_score_svm)
roc_auc_svm, lower_svm, upper_svm = roc_auc_ci(y_test, y_score_svm)
# 训练随机森林
rf_model = RandomForestClassifier()
rf_model.fit(X_train, y_train)
y_score_rf = rf_model.predict_proba(X_test)[:, 1]
fpr_rf, tpr_rf, _ = roc_curve(y_test, y_score_rf)
roc_auc_rf, lower_rf, upper_rf = roc_auc_ci(y_test, y_score_rf)
plt.figure(figsize=(10, 8))
# 绘制各个模型的 ROC 曲线
plt.plot(fpr_logistic, tpr_logistic, color='darkorange', lw=2,
label='Logistic (AUC = %0.2f 95%% CI[%0.2f, %0.2f])' % (roc_auc_logistic, lower_logistic, upper_logistic))
plt.plot(fpr_xgb, tpr_xgb, color='green', lw=2,
label='XGBoost (AUC = %0.2f 95%% CI[%0.2f, %0.2f])' % (roc_auc_xgb, lower_xgb, upper_xgb))
plt.plot(fpr_svm, tpr_svm, color='purple', lw=2,
label='SVM (AUC = %0.2f 95%% CI[%0.2f, %0.2f])' % (roc_auc_svm, lower_svm, upper_svm))
plt.plot(fpr_rf, tpr_rf, color='red', lw=2,
label='Random Forest (AUC = %0.2f 95%% CI[%0.2f, %0.2f])' % (roc_auc_rf, lower_rf, upper_rf))
plt.plot([0, 1], [0, 1], color='navy', lw=2, linestyle='--')
plt.xlim([-0.02, 1.02])
plt.ylim([-0.02, 1.02])
plt.xlabel('1 - Specificity', fontsize=14)
plt.ylabel('Sensitivity', fontsize=14)
plt.title('Test ROC Curve', fontsize=16)
plt.legend(loc="lower right", fontsize=12)
plt.grid(alpha=0.3)
plt.tight_layout()
plt.savefig('ROC_Curves_with_CI.pdf', format='pdf', bbox_inches='tight')
plt.show()
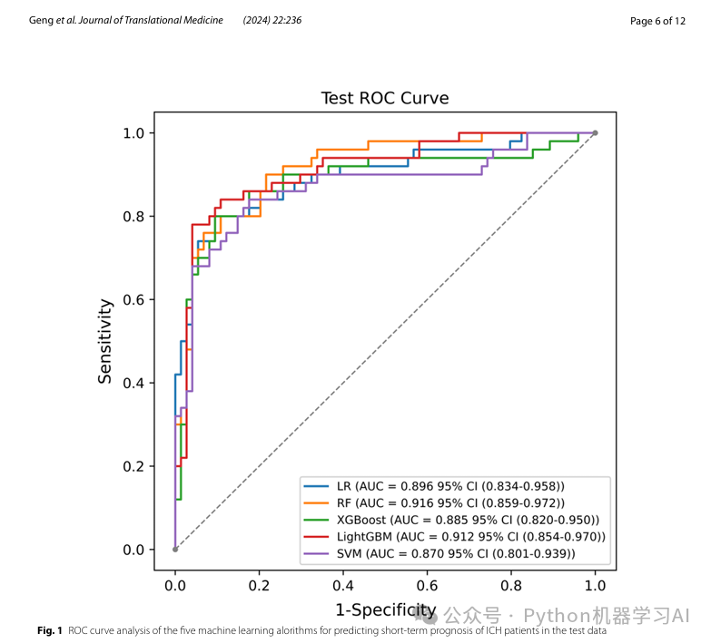
同时对Logistic回归、XGBoost、SVM和随机森林模型分别计算并绘制包含AUC值及其95%置信区间的ROC曲线,以对比不同模型的分类性能和稳定性,和前文参考文献ROC曲线图所表达的思想一致,代码与数据集获取:如需获取本文完整的源代码和数据集,请添加作者微信联系
往期推荐
复现SCI文章 SHAP 依赖图可视化以增强机器学习模型的可解释性
复现 Nature 图表——基于PCA的高维数据降维与可视化实践及其扩展
复现Nature图表——基于PCA降维与模型预测概率的分类效果可视化
如果你对类似于这样的文章感兴趣。
欢迎关注、点赞、转发~
个人观点,仅供参考
