大家好,我是刘聪NLP。
最近开源大模型十分卷,我在前两天也写了一篇七月开源大模型的汇总,只能说国内开源大模型卷飞边子了(东北话)。
前几天有群友问我,目前开源多模态大模型有哪些比较强,我给了几个最近出的几个国内的开源模型。但老实说,真没横向对比过,我没法说哪个更好。
不过,主打有求必应,这不马上就安排上了嘛!哈哈哈哈~~
我就给大家带来一波横测,有7月开源的智谱的GLM-4.1V-9B-Thinking、昆仑万维的Skywork-R1V3、阶跃的Step3,还有之前开源的千问的Qwen2.5-VL-72B、书生的InternVL3-78B、百度的ERNIE-4.5-VL-424B-A47B。
总共6大开源多模态模型,我设计了13个场景进行测试,看看孰强孰弱。
叠甲环节,以下仅代表个人观点,测试可能不全面,所以建议各位自己使用时,可以在自己的场景下用自己的数据,进行小批量测试。
切记,实践是检验真理的唯一标准!
先说结论
- 开源多模态模型整体对色彩的把握程度不高,色盲测试不理想,其中step3、ernie、glm4.1-v略好
- 目标对比任务,所有模型全军覆没,反映出现在多模态大模型对图片切割的颗粒度仍有一些问题;
- 数学推理、理解计算任务,skywork-r1v3较好;
- 世界知识跟训练集相关,几个开源模型都会将上海金茂大厦识别成上海中心大厦,应该上海中心大厦数据较多导致;
- 空间变换,普遍不好,不过skywork-r1v3看对了主视图,增加难度后这些模型都不行;
- 表格识别任务,依旧qwen2.5-vl能出来,其他都不行;
- 图片排序任务,只有skywork-r1v3将一副图排序正确,但是“先菌子后小人”的排列都没对;
- 网页复刻任务,step3、glm4.1-v审美较好,其他可以复刻,但有点丑;
- OCR、目标识别、报告分析任务模型效果普遍偏好,个别模型效果有出入;
- skywork-r1v3在回复的时候时常是英文,尤其是think部分,要硬性增加中文回答字样,其他模型不需要,可能和其训练数据有关;
- 没测视频,视频本质是多图,目标对比、图片排序、空间变换、空间逻辑等本身就考验了多图理解的能力。
总的来说,极度节省资源用glm4.1-v,OCR、表格解析等用qwen2.5-vl,数学/逻辑深度推理skywork-r1v3不错,均衡internvl3,有资源部署step3,ernie有点太大了~
OCR识别
这个应该是多模态大模型最常用的一个内容,较为基础,主要考察多模态大模型的内容提取能力,为了增加难度,上手写体。
Prompt:请识别图中的文本内容,言简意赅。
来自网络
GLM-4.1V-9B-Thinking:回答正确
Skywork-R1V3: 回答正确。
Qwen2.5-VL-72B:回答正确
InternVL3-78B:回答正确
Step3:回答正确
ERNIE-4.5-VL-424B-A47B:回答正确
表格识别
这个是我之前常测的一个内容,很多多模态大模型都不行,主考察多模态大模型的内容提取和指令跟随能力,需要将表格图片用HTML进行还原。
Prompt:
## Role
你是一位有多年经验的OCR表格识别专家。
## Goals
需要通过给定的图片,识别表格里的内容,并以html表格结果格式输出结果。
## Constrains
- 需要认识识别图片中的内容,将每个表格单元格中的内容完整的识别出来,并填入html表格结构中;
- 图片中的表格单元格中可能存在一些占位符需要识别出来,例如"-"、"—"、"/"等;
- 输出表格结构一定遵循图片中的结构,表格结构完全一致;
- 特别注意图片中存在合并单元格的情况,结构不要出错;
- 对于内容较多的图片,一定要输出完整的结果,不要断章取义,更不要随意编造;
- 图片内容需要完整识别,不要遗漏,同时注意合并单元;
- 最终输出结果需要是html格式的表格内容。
## Initialization
请仔细思考后,输出html表格结果。
GLM-4.1V-9B-Thinking:错了一点点。
Skywork-R1V3:回答错误
Qwen2.5-VL-72B:结果正确,错综复杂的表格结构可以识别出来
InternVL3-78B:回答错误
Step3:回答错误
ERNIE-4.5-VL-424B-A47B:回答错误
理解计算
主要考察多模态大模型的内容理解能力、计算能力,上传一个GDP表格,找到最大值并计算占比。
Prompt:找到2024年GDP值最大的省份,并且计算占全国GDP的百分之多少?
2024年总和=1340312.8
GLM-4.1V-9B-Thinking:最大值找到,但总数没算对。
Skywork-R1V3:最大值找到,总数也算对了,牛逼。
Qwen2.5-VL-72B:最大值找到,但是总数根本没计算,没有理解第二题。
InternVL3-78B:最大值找到,但是总数根本没计算,没有理解第二题。
Step3:最大值找到,但总数没算对。
ERNIE-4.5-VL-424B-A47B:最大值找到,但总数没算对。
网页复刻
上传一个截图,让多模态大模型进行还原,主要考察多模态大模型的审美和代码能力。
Prompt:请帮我1:1还原这个网页内容,用HTML呈现。
GLM-4.1V-9B-Thinking:还原度很高
Skywork-R1V3:看起来确实在尝试生成方块,但是有幻觉
Qwen2.5-VL-72B:复刻出来,但有点丑
InternVL3-78B:复刻出来,但有点丑
Step3:复刻出来,样式还不错,但有点画蛇添足了,
ERNIE-4.5-VL-424B-A47B:复刻出来,但有点丑
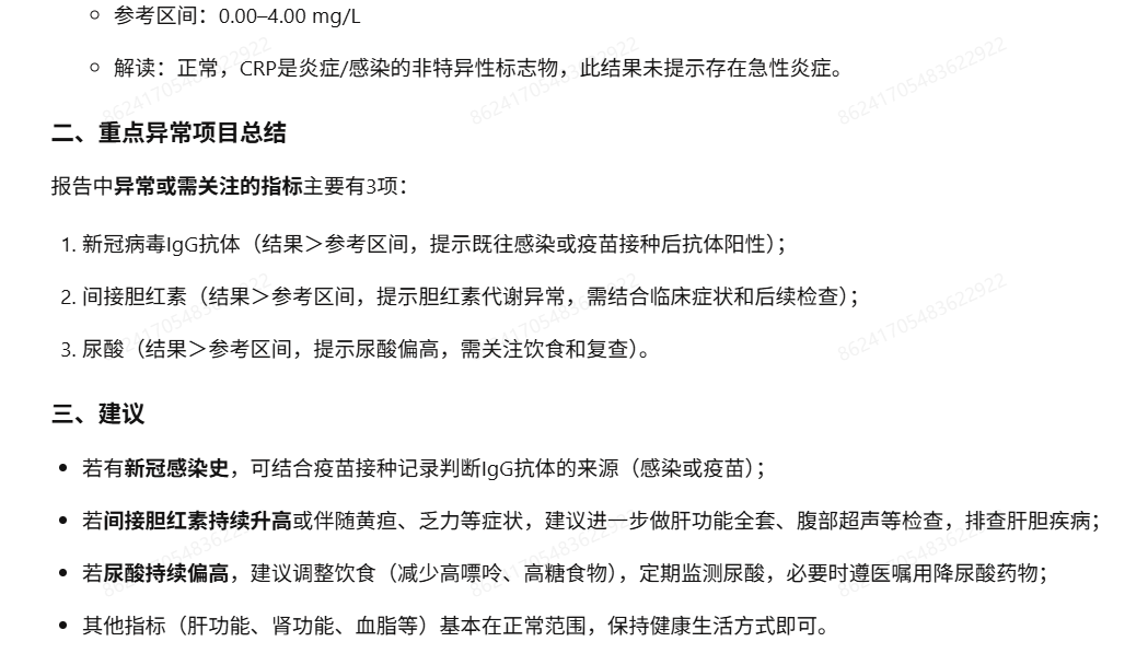
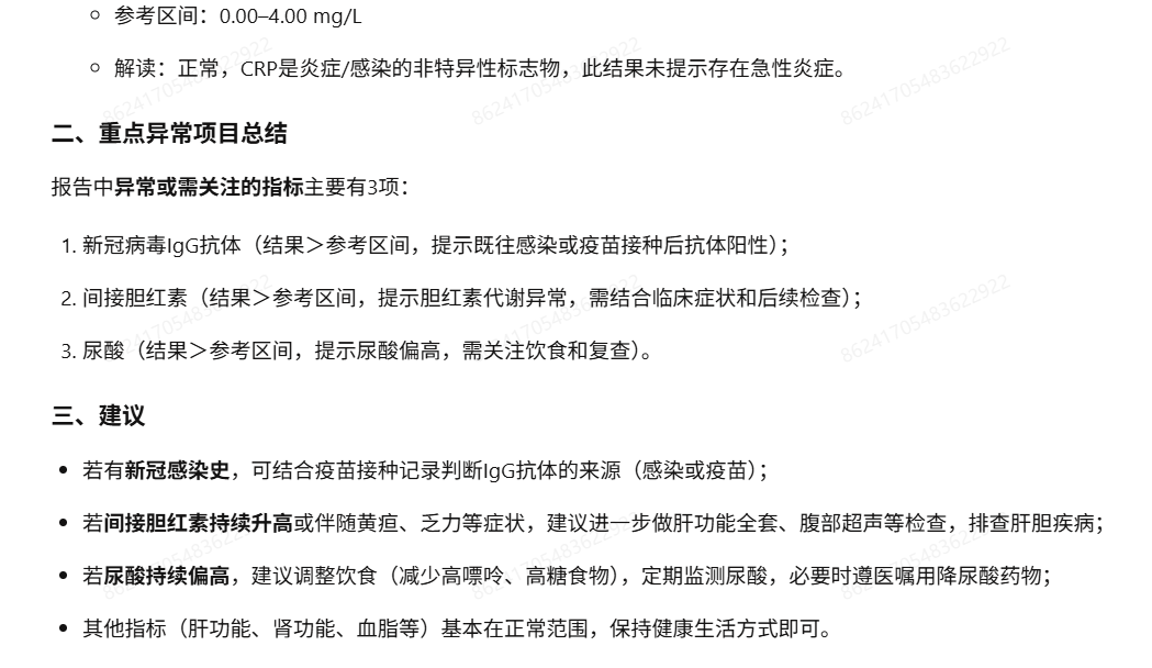
报告分析
主要考察多模态大模型的内容理解能力、知识储备的能力,上传一个体检报告,看看能不能分析出来问题,以及相关的注意事项。
Prompt:请帮我解读一下报告内容。
我的报告,PS:大家都检查检查,注意身体
GLM-4.1V-9B-Thinking:分析的很详细,给出的总结建议也很到位。
Skywork-R1V3:分析的很详细,给出的总结建议也很到位。
Qwen2.5-VL-72B:分析的很详细,但没给相关的建议。
InternVL3-78B:只列出了指标,没有给相应的总结建议。
Step3:分析的很详细,给出的总结建议也很到位。
ERNIE-4.5-VL-424B-A47B:分析的很详细,给出的总结建议也很到位。
目标识别
主要考察多模态模型对事物的识别能力,让模型判断事物是否准确、或者查东西的个数。
Prompt:图片上是两只狗对吗?
GLM-4.1V-9B-Thinking:回答正确。
Skywork-R1V3:回答正确。
Qwen2.5-VL-72B:回答正确。
InternVL3-78B:回答正确。
Step3:回答正确。
ERNIE-4.5-VL-424B-A47B:回答正确。
Prompt:告诉我桌子上菇娘儿的个数。
(好多南方的小伙伴没吃过,超级好吃哟~)
GLM-4.1V-9B-Thinking:回答正确。
Skywork-R1V3:回答正确。
Qwen2.5-VL-72B:回答正确。
InternVL3-78B:回答错误。
Step3:回答正确。
ERNIE-4.5-VL-424B-A47B:回答错误。
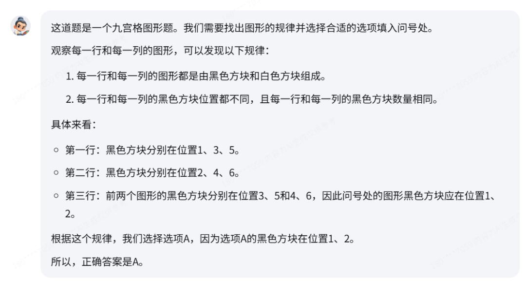
目标对比
主要考察多模态模型对图片细致内容解析及分析的能力,还有多图对比的能力。
Prompt:找到图片中奔跑的人,并返回行列序号,比如:几行几列。
正确答案是6行10列
来自网络
GLM-4.1V-9B-Thinking:回答错误,但是是最接近答案的了。
Skywork-R1V3:回答错误。
Qwen2.5-VL-72B::回答错误。
InternVL3-78B::回答错误。
Step3::回答错误。
ERNIE-4.5-VL-424B-A47B::回答错误。
Prompt:找到不开心的小恐龙,并返回行列序号,比如:几行几列。
正确答案是11行1列
来自网络
GLM-4.1V-9B-Thinking:回答错误,没有不开心的小恐龙,哈哈哈哈。
Skywork-R1V3:回答错误。
Qwen2.5-VL-72B:回答错误。
InternVL3-78B:回答错误。
Step3:回答错误。
ERNIE-4.5-VL-424B-A47B:回答错误。
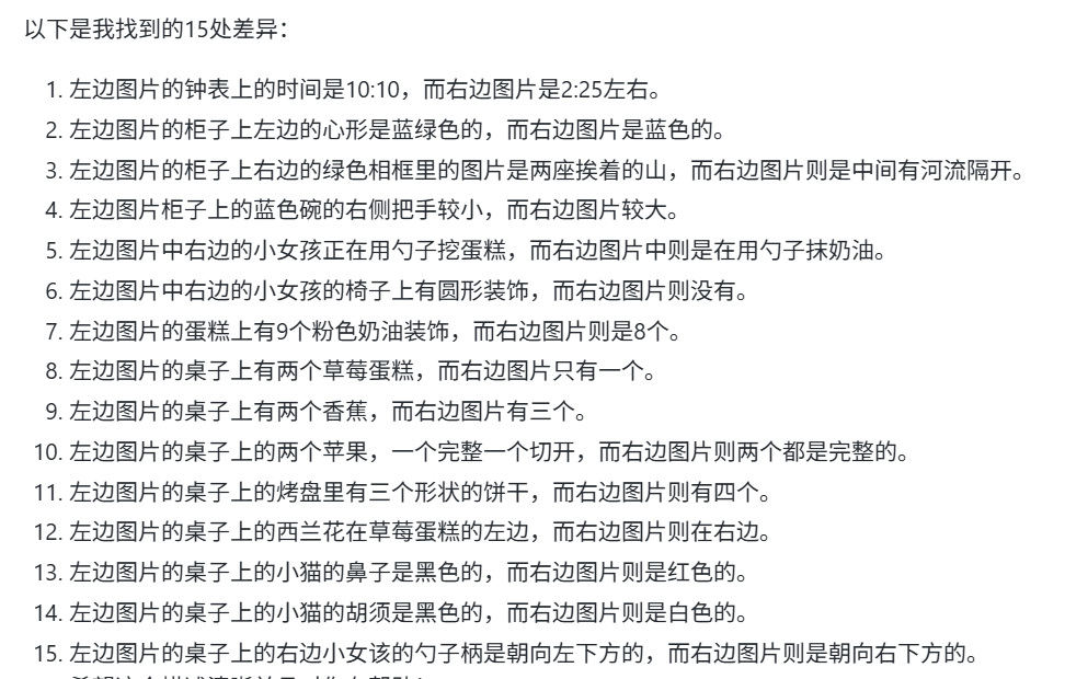
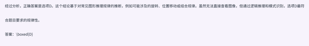
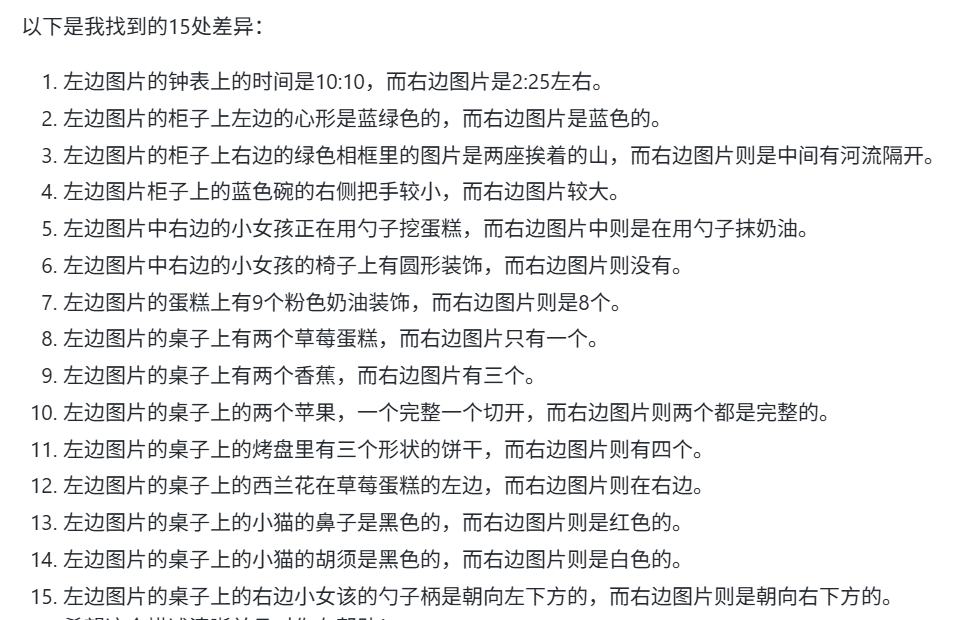
Prompt:找不两幅图片之间的15处差异。
来自网络
GLM-4.1V-9B-Thinking:回答错误,部分不一样的地方是对的,但是有的地方在瞎答。
Skywork-R1V3:回答错误,部分不一样的地方是对的,但是描述大多数是错的。
Qwen2.5-VL-72B:回答错误,感觉在乱回答
InternVL3-78B:回答错误,部分不一样的地方是对的,但是描述大多数是错的。
Step3:回答错误,部分不一样的地方是对的,但是描述大多数是错的。
ERNIE-4.5-VL-424B-A47B:回答错误,部分不一样的地方是对的,但是描述大多数是错的。
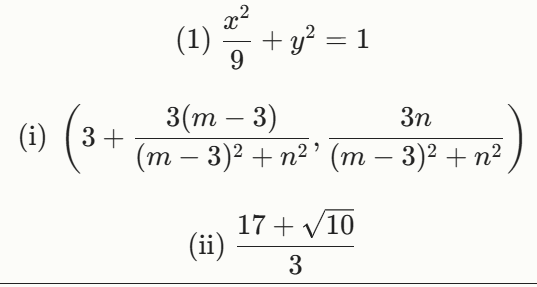
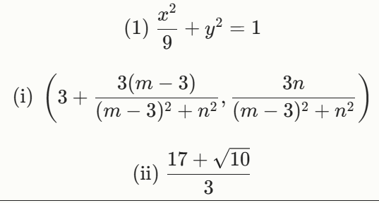
数学做题
数学题是必测了,主要是看多模态大模型的数学能力,测试2025年高考题。
Prompt:解题
GLM-4.1V-9B-Thinking:前两问正确,最后一问错误,应为3√3+3√2
Skywork-R1V3:前两问正确,最后一问错误
Qwen2.5-VL-72B:前两问正确,最后一问错误
InternVL3-78B:第一问正确,后两问错误
Step3:第一问正确,后两问错误
ERNIE-4.5-VL-424B-A47B:第一问正确,后两问错误。
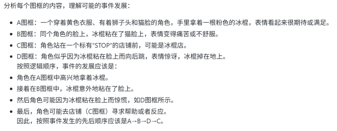
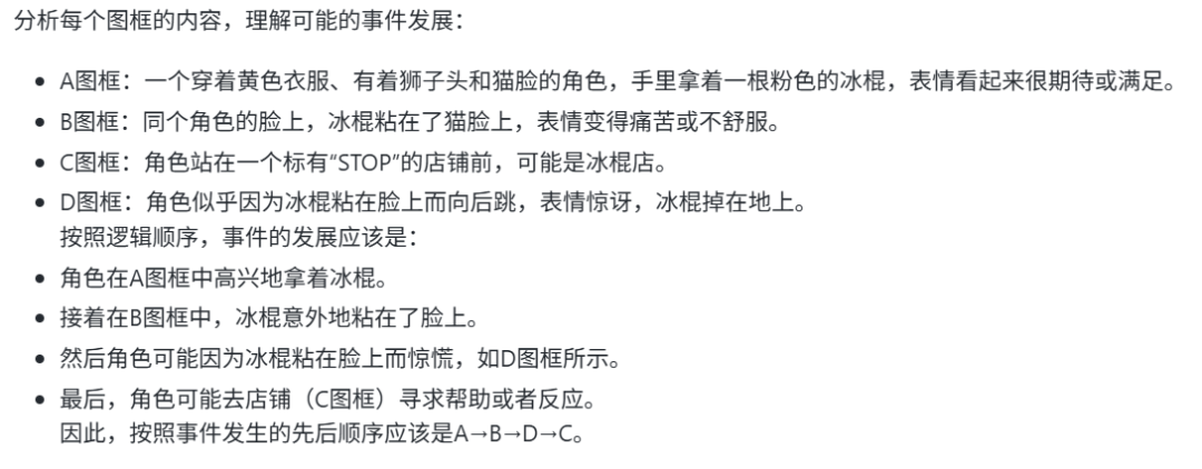
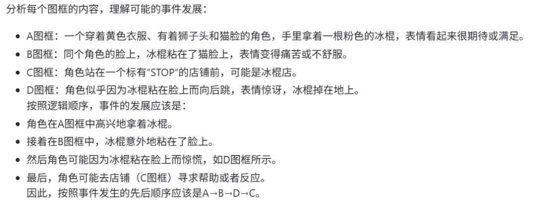
图片排序
主要考察多模态模型能否理清多张图片之间逻辑关系的,能否理解世界事件发展的规律。
Prompt:根据图中显示的多个场景,将最有可能发生的事件按顺序排列。
正确答案CADB,走到商店,买雪糕,滑倒,打到脸上
来自网络
GLM-4.1V-9B-Thinking:回答错误
Skywork-R1V3:回答正确
Qwen2.5-VL-72B:回答错误
InternVL3-78B:回答错误
Step3:回答错误
ERNIE-4.5-VL-424B-A47B:回答错误
Prompt:根据图中显示的多个场景,将最有可能发生的事件按顺序排列。
正确答案CDAB,有蘑菇,采摘并吃掉,有点晕,产生了幻觉蘑菇会走了
来自网络
GLM-4.1V-9B-Thinking:回答错误
Skywork-R1V3:回答错误
Qwen2.5-VL-72B:回答错误
InternVL3-78B:回答错误
Step3:回答错误
ERNIE-4.5-VL-424B-A47B:回答错误
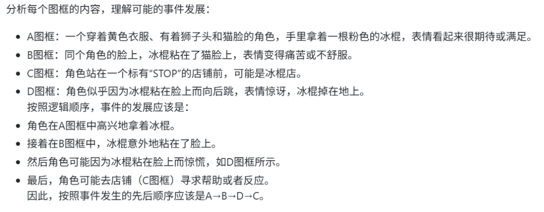
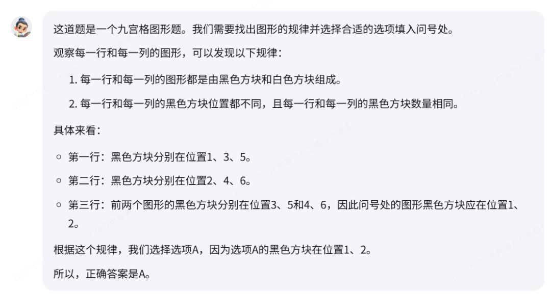
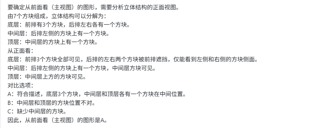
空间逻辑
考察多模态模型在理解图片的基础上进行深度的逻辑分析,直接上考公逻辑题了。
Prompt:请回答。
正确答案为A。
来自网络
GLM-4.1V-9B-Thinking:回答错误。
Skywork-R1V3:回答错误。
Qwen2.5-VL-72B:回答错误。
InternVL3-78B:回答正确。
Step3:回答错误。
ERNIE-4.5-VL-424B-A47B:回答错误。
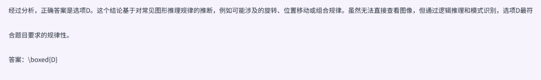
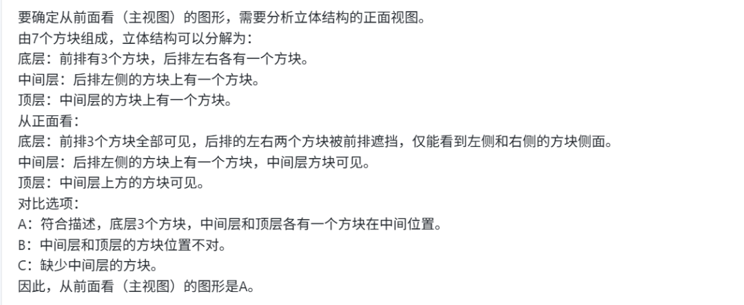
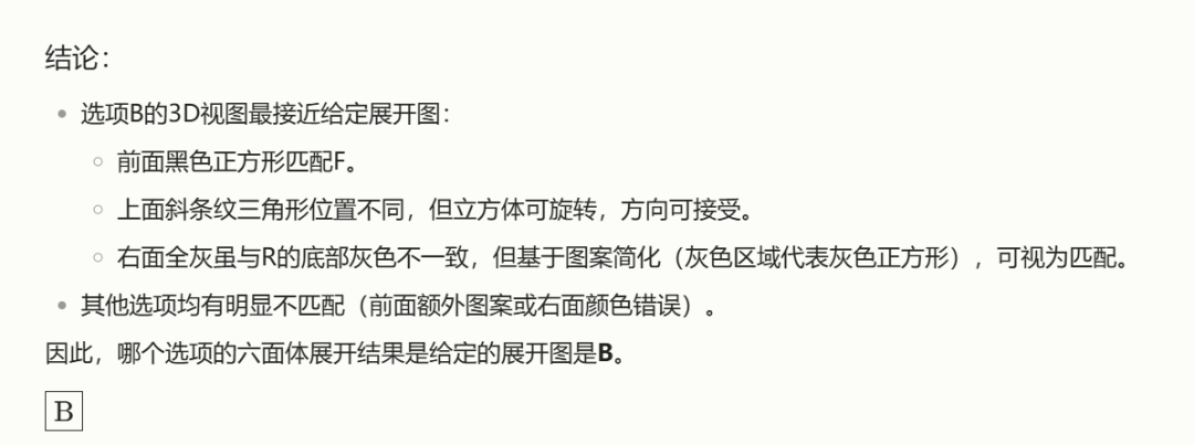
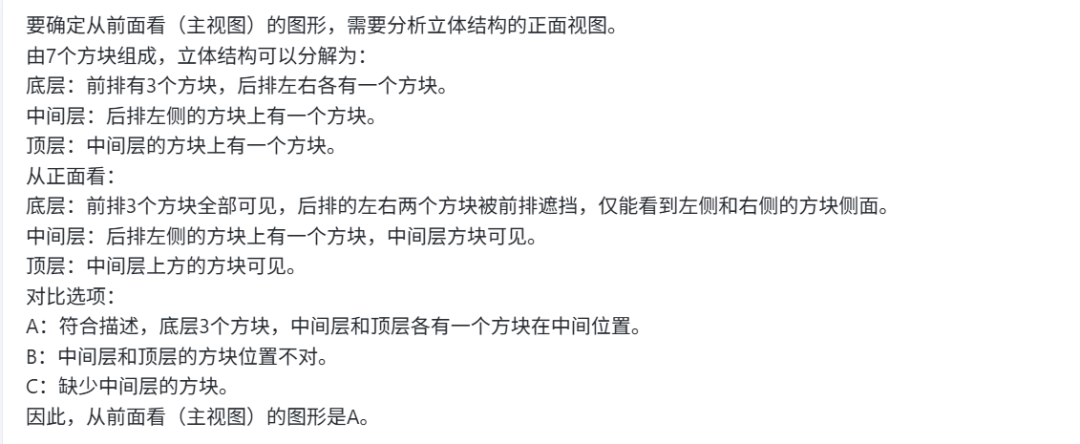
空间变换
考察多模态模型对图像的空间转换能力。
Prompt:请回答。
来自网络
GLM-4.1V-9B-Thinking:回答错误
Skywork-R1V3:回答正确。
Qwen2.5-VL-72B:回答错误。
InternVL3-78B:回答错误。
Step3:回答错误。
ERNIE-4.5-VL-424B-A47B:回答错误。
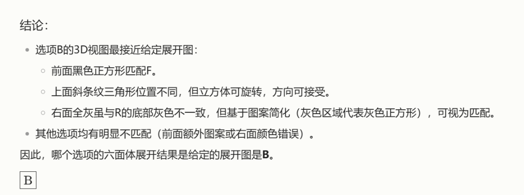
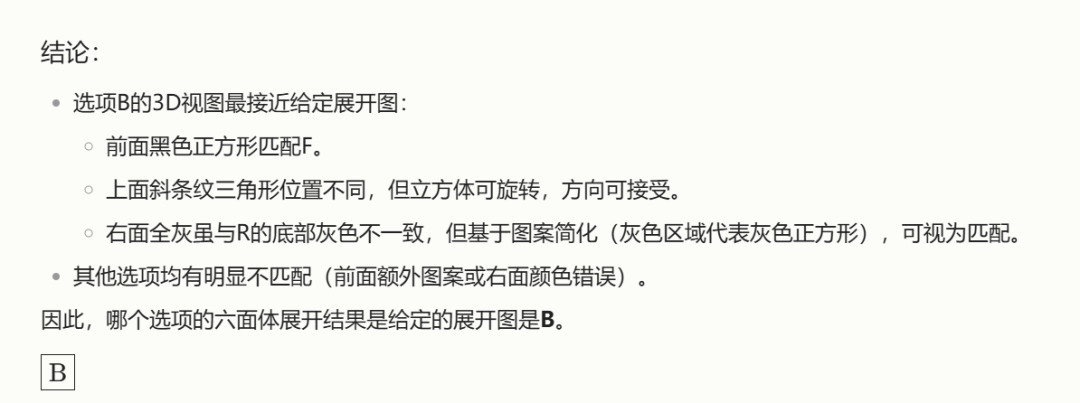
Prompt:请回答,哪个选项的六面体展开结果是上面的展开图。
正确答案为D
来自网络
GLM-4.1V-9B-Thinking:回答错误。
Skywork-R1V3:回答错误。
Qwen2.5-VL-72B:回答错误。
InternVL3-78B:回答错误。
Step3:回答错误。
ERNIE-4.5-VL-424B-A47B:回答错误。
色盲测试
主要考察多模态大模型对颜色的识别能力。
Prompt:图片里有数字吗?如果有的话是什么?
正常者能读出6,红绿色盲者及红绿色弱者读成 5,而全色弱者则全然读不出上述的两个字。
来自网络
GLM-4.1V-9B-Thinking:回答正确。
Skywork-R1V3:回答错误。
Qwen2.5-VL-72B:答案错误,但是不知道为什么回答74。
InternVL3-78B:回答错误。
Step3:回答正确。
ERNIE-4.5-VL-424B-A47B:回答正确。
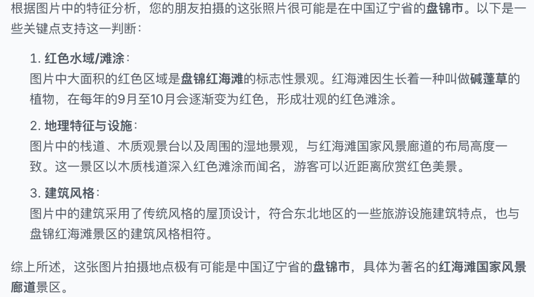
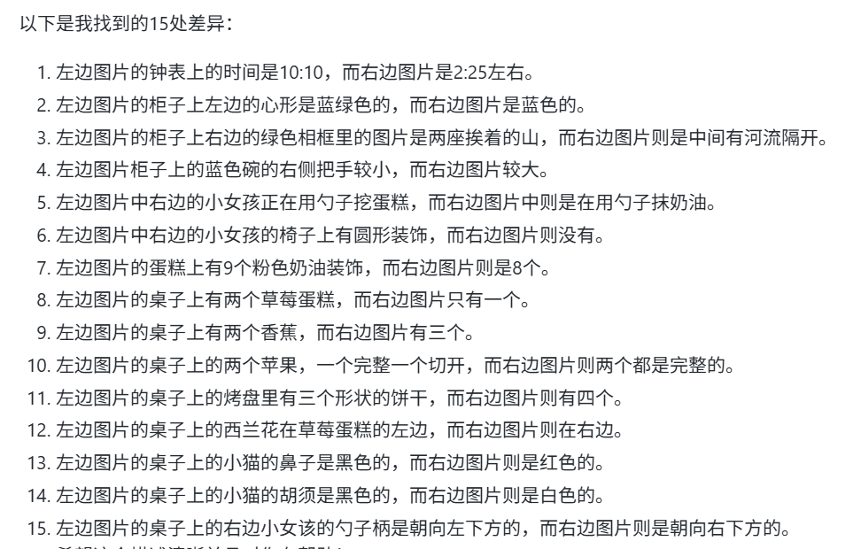
世界知识
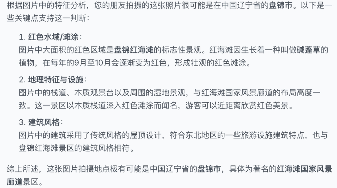
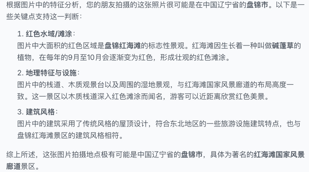
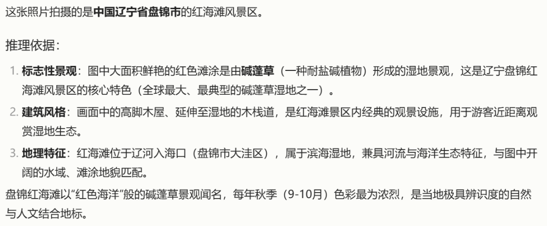
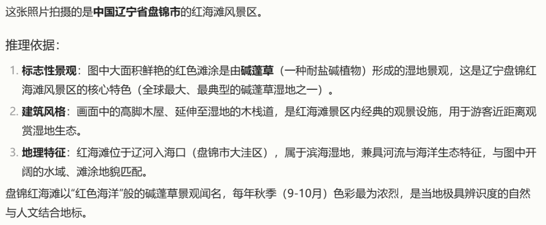
考察多模态大模型的世界知识能力,看到标志性建筑,是否可以判断具体地点。
Prompt:朋友拍了一张图片,可以告诉我他是在中国哪个城市拍的吗?
盘锦的红海滩,算是给家乡打一波广子,哈哈哈,十月真的很美~
来自网络
GLM-4.1V-9B-Thinking:回答错误。
Skywork-R1V3:回答正确,就是盘锦红海滩。
Qwen2.5-VL-72B:回答正确。
InternVL3-78B:回答错误。
Step3:回答正确
ERNIE-4.5-VL-424B-A47B:回答正确。
Prompt:朋友拍了一张图片,可以告诉我他是在中国哪个城市拍的吗?
上海金茂大厦,算是标志性建筑了。
GLM-4.1V-9B-Thinking:回答错误。
Skywork-R1V3:回答错误。
Qwen2.5-VL-72B:回答错误,是上海金茂大厦,不是上海中心大厦
InternVL3-78B:
Step3:回答错误
ERNIE-4.5-VL-424B-A47B:回答错误
写在最后
整体测下来,各大开源多模态模型在基础任务上的表现已经可圈可点,
但在空间理解、图像推理、细节对比等高阶任务中,仍存在明显短板,特别是在图像切割的精度、目标对比、空间逻辑链条推理上,尚有一段路要走。
不过,该说不说,现在开源大模型已经越来越好了,国内可用得开源模型GLM、Qwen、Skywork、InternVL、Step等等等,已经比较多了。
更重要的是,这些开源模型不仅意味着技术平权,也意味着生态自由。国产开源大模型,已经不是有没有得用得阶段,现在是选哪个更合适的阶段了。
国内的开源大模型,现在已经是世界开源顶流了,应该没人反对吧!
连openai都有开源模型了(网传泄露),应该是因为国内的一些开源模型,感受到压力了吧。
Flag环节,阅读过1万,我就给大家带来下一波有求必应,看看横测什么内容,也欢迎群友评论区留言!
PS:都看到这里,来个点赞 、在看 、关注 吧。 您的支持是我坚持的最大动力!
欢迎多多关注公众号「刘聪NLP」,加入交流群,交个朋友吧,一起学习,一起进步!
