✨ 欢迎关注Python机器学习AI ✨
本节介绍:相关系数可视化的优美呈现揭示数据之间的深层联系 ,数据采用模拟数据无任何现实意义 ,作者根据个人对机器学习的理解进行代码实现与图表输出,仅供参考。 完整 数据和代码将在稍后上传至交流群,成员可在交流群中获取下载。需要的朋友可关注公众文末提供的获取方式。
✨ 论文信息 ✨
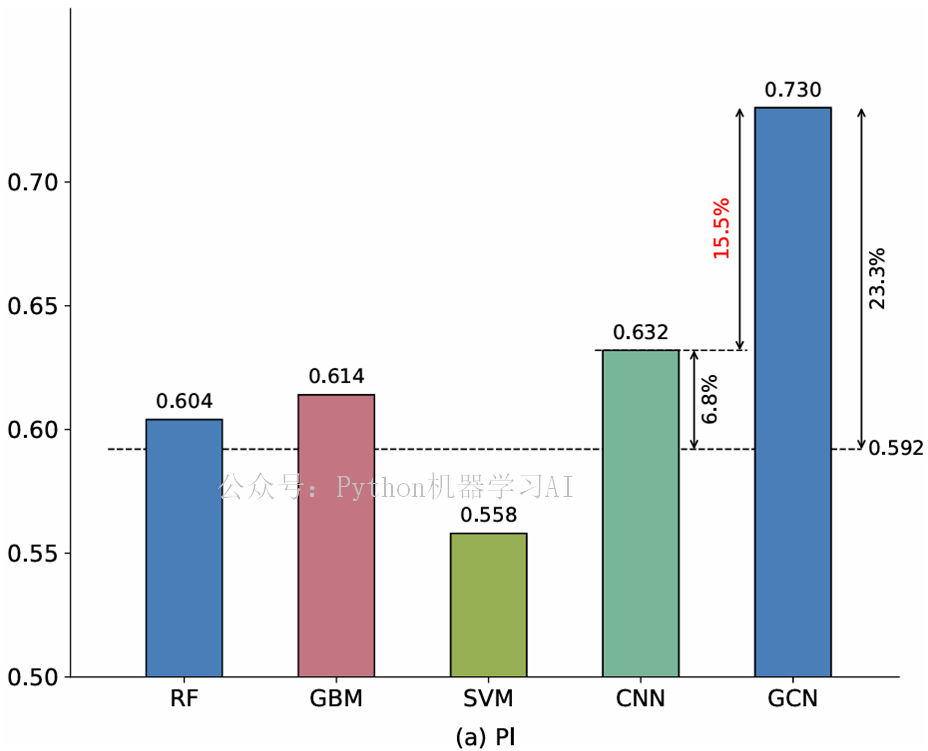
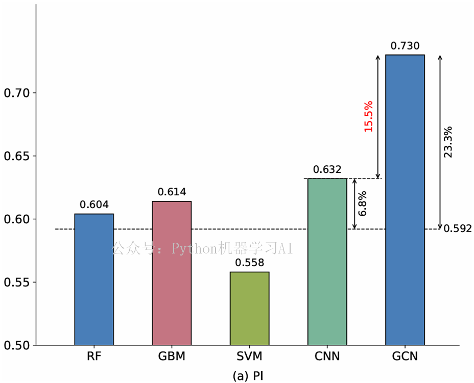
文献中通过柱状图展示不同机器学习模型(RF、GBM、SVM、CNN、GCN)在预测四个不同输出(PI、Er、Igeo、CER)时的性能比较。评估性能的指标是拟合优度R^2,该值越接近1表示模型拟合数据的能力越强。每个图表展示了不同模型的 R^2 值,并且给出了GCN模型相对于传统模型(RF、GBM、SVM、CNN)的百分比提升
基于前述柱状图中所使用的百分比提升标注方法,可以在模拟数据集上同样对回归与分类任务的多个模型进行了对比分析。通过在可视化图中标注最优模型相较于其他模型的性能提升百分比,不仅能够直观展示各模型在不同任务上的绝对表现,还能凸显最优模型在预测精度与泛化能力上的优势。这种方式为后续研究中不同任务和模型的对比提供了一种更清晰、易理解的展示思路
✨ 代码实现 ✨
import matplotlib.pyplot as plt
import numpy as np
# X轴的类别
categories = ['RF', 'GBM', 'SVM', 'CNN', 'GCN']
# 每个类别的R²值
values = [0.604, 0.614, 0.558, 0.632, 0.730]
# 为每个条形指定颜色以匹配原始图像
colors = ['#4A7FB9', '#C57683', '#98B155', '#7AB699', '#4A7FB9']
# 创建一个图形和一组子图
fig, ax = plt.subplots(figsize=(8, 6.5))
# 调整宽度并绘制条形图
bar_width = 0.5 # 设置条形的宽度
bars = ax.bar(categories, values, color=colors, edgecolor='black', zorder=2, width=bar_width, align='center')
# 设置Y轴的范围和刻度
ax.set_ylim(0.50, 0.77)
ax.set_yticks(np.arange(0.50, 0.75, 0.05))
ax.set_xlabel('(a) Pl', fontsize=14, labelpad=10)
# 设置刻度标签的字体大小
ax.tick_params(axis='both', which='major', labelsize=14)
# 隐藏顶部和右侧的坐标轴线,使图表更简洁
ax.spines['top'].set_visible(False)
ax.spines['right'].set_visible(False)
# 在每个条形的顶部添加其精确值
for bar in bars:
height = bar.get_height()
# 直接在y坐标上增加一个小的偏移量 (例如 0.003),而不是使用 xytext
ax.text(bar.get_x() + bar.get_width() / 2, height + 0.003, f'{height:.3f}',
ha='center', va='bottom', fontsize=12, zorder=3)
# 定义注释中使用的关键Y轴值
y_ref = 0.592
y_cnn = 0.632
y_gcn = 0.730
# 绘制水平虚线
# 水平线1 (在 y=0.592)
ax.plot([-0.5, 4.45], [y_ref, y_ref], color='black', linestyle='--', linewidth=1, zorder=1)
ax.text(4.45, y_ref, f' {y_ref}', va='center', ha='left', fontsize=12)
# 水平线2 (在 y=0.632, CNN条形的顶部)
ax.plot([2.7, 3.7], [y_cnn, y_cnn], color='black', linestyle='--', linewidth=1, zorder=1)
# 绘制带箭头的注释和百分比文本
# 箭头 1: 6.8%
x_pos1 = 3.35 # CNN条形右侧
ax.annotate('', xy=(x_pos1, y_ref), xytext=(x_pos1, y_cnn),
arrowprops=dict(arrowstyle='<->', color='black', shrinkA=0, shrinkB=0))
ax.text(x_pos1 + 0.05, (y_ref + y_cnn) / 2, '6.8%',
rotation=90, va='center', ha='left', fontsize=12)
# 箭头 2: 15.5% (红色)
x_pos2 = 3.65 # GCN条形左侧
ax.annotate('', xy=(x_pos2, y_cnn), xytext=(x_pos2, y_gcn),
arrowprops=dict(arrowstyle='<->', color='black', shrinkA=0, shrinkB=0))
ax.text(x_pos2 - 0.05, (y_cnn + y_gcn) / 2, '15.5%',
rotation=90, va='center', ha='right', fontsize=12, color='red')
# 箭头 3: 23.3%
x_pos3 = 4.45 # GCN条形右侧
ax.annotate('', xy=(x_pos3, y_ref), xytext=(x_pos3, y_gcn),
arrowprops=dict(arrowstyle='<->', color='black', shrinkA=0, shrinkB=0))
ax.text(x_pos3 + 0.05, (y_ref + y_gcn) / 2, '23.3%',
rotation=90, va='center', ha='left', fontsize=12)
# 调整布局以确保所有元素都清晰可见
plt.tight_layout()
plt.savefig("org.pdf", format='pdf', bbox_inches='tight', dpi=1200)
plt.show()
代码实现了对文献中图 的完全复现,可视化展示不同模型的R^2值及其百分比提升关系
在上述复现文献图A的可视化基础上,进一步在模拟数据集上构建了多个常见的回归模型,并对比它们在测试集上的
R^2表现。随后采用与文献图一致的方式,在柱状图中加入基准模型与最优模型之间的百分比提升标注,从而更直观地展示不同方法在模拟数据集上的预测效果差异
import pandas as pd
import numpy as np
import matplotlib.pyplot as plt
import warnings
# 忽略所有警告
warnings.filterwarnings("ignore")
path = r"回归.xlsx"
df = pd.read_excel(path)
from sklearn.model_selection import train_test_split
# 划分特征和目标变量
X = df.drop(['SR'], axis=1)
y = df['SR']
# 划分训练集和测试集
X_train, X_test, y_train, y_test = train_test_split(X, y, test_size=0.3, random_state=42)
from sklearn.preprocessing import StandardScaler
# 初始化标准化器
scaler = StandardScaler()
# 仅使用训练集数据来计算标准化参数(均值和标准差)
X_train_scaled = scaler.fit_transform(X_train)
# 使用相同的标准化器对测试集进行转换
X_test_scaled = scaler.transform(X_test)
from sklearn.tree import DecisionTreeRegressor # DT
from sklearn.ensemble import RandomForestRegressor # RF
from sklearn.svm import SVR # SVM
from sklearn.ensemble import GradientBoostingRegressor # GBM
from xgboost import XGBRegressor # XGB
# 随机种子
random_seed = 1314
# 使用标准化后的训练数据进行训练
# DT
dt_model = DecisionTreeRegressor(random_state=random_seed)
dt_model.fit(X_train_scaled, y_train)
# RF
rf_model = RandomForestRegressor(random_state=random_seed)
rf_model.fit(X_train_scaled, y_train)
# XGB
xgb_model = XGBRegressor(random_state=random_seed)
xgb_model.fit(X_train_scaled, y_train)
# GBM
gbm_model = GradientBoostingRegressor(random_state=random_seed)
gbm_model.fit(X_train_scaled, y_train)
# SVM
svm_model = SVR(kernel='rbf')
svm_model.fit(X_train_scaled, y_train)
在构建多个回归模型前对特征进行了标准化,主要是因为SVM对数据量纲敏感,读者若对比不做标准化的结果会发现SVM性能差异很大,而其它模型(如 DT、RF、GBM、XGB)对量纲不敏感,受影响程度不大
from sklearn.metrics import r2_score
# 计算每个模型的预测值(使用标准化后的测试集数据)
dt_y_pred = dt_model.predict(X_test_scaled)
rf_y_pred = rf_model.predict(X_test_scaled)
xgb_y_pred = xgb_model.predict(X_test_scaled)
gbm_y_pred = gbm_model.predict(X_test_scaled)
svm_y_pred = svm_model.predict(X_test_scaled)
# 计算每个模型的拟合优度(R²)
dt_r2 = r2_score(y_test, dt_y_pred)
rf_r2 = r2_score(y_test, rf_y_pred)
xgb_r2 = r2_score(y_test, xgb_y_pred)
gbm_r2 = r2_score(y_test, gbm_y_pred)
svm_r2 = r2_score(y_test, svm_y_pred)
# 返回一个模型拟合优度的列表
r2_list = [dt_r2, rf_r2, xgb_r2, gbm_r2, svm_r2]
models = ['DT', 'RF', 'XGB', 'GBM', 'SVM']
# 计算平均 R² 值
average_r2 = sum(r2_list) / len(r2_list)
# 计算每个模型相对于平均 R² 值的提高百分比
increase_percentage = [(model, (r2 - average_r2) / average_r2 * 100) for model, r2 in zip(models, r2_list)]
# 排序后找出 R² 值最高的模型和第二高的模型
sorted_models_r2 = sorted(zip(models, r2_list), key=lambda x: x[1], reverse=True)
highest_model, highest_r2 = sorted_models_r2[0]
second_highest_model, second_highest_r2 = sorted_models_r2[1]
# 计算最高 R² 模型与平均值、第二高 R² 模型与平均值的提高百分比
highest_model_increase = (highest_r2 - average_r2) / average_r2 * 100
second_highest_model_increase = (second_highest_r2 - average_r2) / average_r2 * 100
# 计算最高 R² 模型与第二高 R² 模型的提高百分比
highest_vs_second_highest_increase = (highest_r2 - second_highest_r2) / second_highest_r2 * 100
# 打印结果
print(f"平均 R² 值: {average_r2:.4f}")
print(f"{highest_model} 相对于平均 R² 提高了 {highest_model_increase:.2f}%")
print(f"{second_highest_model} 相对于平均 R² 提高了 {second_highest_model_increase:.2f}%")
print(f"{highest_model} 相对于 {second_highest_model} 提高了 {highest_vs_second_highest_increase:.2f}%")
# 返回每个模型的提高百分比
increase_percentage
计算多个回归模型(DT、RF、XGB、GBM、SVM)在测试集上的R^2值,并根据与平均R^2的差异计算了每个模型的性能提升百分比,最终输出最优模型、次优模型以及它们与平均值和彼此之间的提升对比
平均 R² 值: 0.8379
RF 相对于平均 R² 提高了 7.87%
GBM 相对于平均 R² 提高了 6.62%
RF 相对于 GBM 提高了 1.17%
[('DT', 2.2245796089721157), ('RF', 7.865454310431476), ('XGB', 5.906449983351724), ('GBM', 6.616021593410731), ('SVM', -22.612505496166037)]
# 将模型和 R² 值打包在一起并排序
sorted_models_r2 = sorted(zip(models, r2_list), key=lambda x: x[1]) # 按R²值排序
# 打印排序结果
print("排序后的模型拟合优度 (R²):")
for model, r2 in sorted_models_r2:
print(f"{model}: R² = {r2:.4f}")
# 返回排序后的R²值和模型列表
sorted_r2_list = [round(r2, 3) for _, r2 in sorted_models_r2]
sorted_models_list = [model for model, _ in sorted_models_r2]
sorted_r2_list
将各个模型的R^2值与模型名称打包后按拟合优度从低到高排序,并输出排序结果,同时返回排序后的模型列表和对应的R^2数值
排序后的模型拟合优度 (R²):
SVM: R² = 0.6484
DT: R² = 0.8565
XGB: R² = 0.8874
GBM: R² = 0.8933
RF: R² = 0.9038
[0.648, 0.857, 0.887, 0.893, 0.904]
# X轴的类别
categories = sorted_models_list
# 每个类别的R²值
values = sorted_r2_list
# 为每个条形指定颜色以匹配原始图像
colors = ['#4A7FB9', '#C57683', '#98B155', '#7AB699', '#4A7FB9']
# --- 图表创建 ---
# 创建一个图形和一组子图
fig, ax = plt.subplots(figsize=(8, 6.5))
# 调整宽度并绘制条形图
bar_width = 0.5 # 设置条形的宽度
bars = ax.bar(categories, values, color=colors, edgecolor='black', zorder=2, width=bar_width, align='center')
# 设置Y轴的范围和刻度
ax.set_ylim(0.60, 0.99)
ax.set_yticks(np.arange(0.60, 0.99, 0.05))
ax.set_xlabel('Test R²', fontsize=14, labelpad=10)
# 设置刻度标签的字体大小
ax.tick_params(axis='both', which='major', labelsize=14)
# 隐藏顶部和右侧的坐标轴线,使图表更简洁
ax.spines['top'].set_visible(False)
ax.spines['right'].set_visible(False)
# --- 数据标签 (已修正的部分) ---
# 在每个条形的顶部添加其精确值
for bar in bars:
height = bar.get_height()
# 直接在y坐标上增加一个小的偏移量 (例如 0.003),而不是使用 xytext
ax.text(bar.get_x() + bar.get_width() / 2, height + 0.003, f'{height:.3f}',
ha='center', va='bottom', fontsize=12, zorder=3)
# 定义注释中使用的关键Y轴值
y_mean = 0.838
y_no2 = 0.893
no1 = 0.904
# 绘制水平虚线
# 水平线1 (在 y=y_mean)
ax.plot([-0.5, 4.45], [y_mean, y_mean], color='black', linestyle='--', linewidth=1, zorder=1)
ax.text(4.45, y_mean, f' {y_mean}', va='center', ha='left', fontsize=12)
# 水平线2 (在 y=y_no2, no2条形的顶部)
ax.plot([2.7, 3.7], [y_no2, y_no2], color='black', linestyle='--', linewidth=1, zorder=1)
# 绘制带箭头的注释和百分比文本
# 箭头 1:
x_pos1 = 3.35 # no2条形右侧
ax.annotate('', xy=(x_pos1, y_mean), xytext=(x_pos1, y_no2),
arrowprops=dict(arrowstyle='<->', color='black', shrinkA=0, shrinkB=0))
ax.text(x_pos1 + 0.05, (y_mean + y_no2) / 2, '6.62%',
rotation=90, va='center', ha='left', fontsize=12)
# 箭头 2: 红色
x_pos2 = 3.65 # no1条形左侧
ax.annotate('', xy=(x_pos2, y_no2), xytext=(x_pos2, no1),
arrowprops=dict(arrowstyle='<->', color='black', shrinkA=0, shrinkB=0))
ax.text(x_pos2 - 0.05, (y_no2 + no1) / 2, '1.17%',
rotation=90, va='center', ha='right', fontsize=12, color='red')
# 箭头 3:
x_pos3 = 4.45 # no1条形右侧
ax.annotate('', xy=(x_pos3, y_mean), xytext=(x_pos3, no1),
arrowprops=dict(arrowstyle='<->', color='black', shrinkA=0, shrinkB=0))
ax.text(x_pos3 + 0.05, (y_mean + no1) / 2, '7.87%',
rotation=90, va='center', ha='left', fontsize=12)
# 调整布局以确保所有元素都清晰可见
plt.tight_layout()
# 显示最终的图表
plt.savefig("TEST.pdf", format='pdf', bbox_inches='tight', dpi=1200)
plt.show()
可视化代码绘制各回归模型在测试集上的
R^2柱状图,并通过虚线和百分比箭头直观展示平均值、次优模型和最优模型之间的性能提升幅度
这张图展示的是回归模型在测试集上的拟合优度 (R²) 对比结果,其中通过水平虚线和百分比箭头标注了不同模型相对于平均水平、次优模型和最优模型之间的性能提升;当然,这种分析和可视化方式也可以同样扩展到分类模型的准确率、F1 分数、AUC等指标上
这张图展示的是二分类模型在测试集上的AUC对比结果,属于对前面回归模型可视化思路的一种自然扩展,用相同的虚线和百分比箭头来刻画各模型之间相对于平均水平、次优模型和最优模型的性能差异
当然,公众号中还有更多机器学习期刊实战技巧,您可以通过历史文章进行检索和阅读,关注公众号,点击“发信息”>“历史文章”即可搜索公众号所有文章信息
✨ 该文章案例 ✨
在上传至交流群的文件中,像往期文章一样,将对案例进行逐步分析,确保读者能够达到最佳的学习效果。内容都经过详细解读,帮助读者深入理解模型的实现过程和数据分析步骤,从而最大化学习成果。
同时,结合提供的免费AI聚合网站进行学习,能够让读者在理论与实践之间实现融会贯通,更加全面地掌握核心概念。
✨ 介绍 ✨
本节介绍到此结束,有需要学习数据分析和Python机器学习相关的朋友欢迎到淘宝店铺:Python机器学习AI,下方提供淘宝店铺二维码获取作者的公众号合集。截至目前为止,合集已包含近300多篇文章,购买合集的同时,还将提供免费稳定的AI大模型使用。
更新的内容包含数据、代码、注释和参考资料。 作者仅分享案例项目,不提供额外的答疑服务。项目中将提供详细的代码注释和丰富的解读,帮助您理解每个步骤 。 获取 前请咨询,避免不必要的问题。
✨ 群友反馈 ✨
✨ 淘宝店铺 ✨
请大家打开淘宝扫描上方的二维码,进入店铺,获取更多Python机器学习和AI相关的内容 ,希望能为您的学习之路提供帮助!
往期推荐
期刊复现:连续数据与分类数据共存的SHAP可视化散点图与箱形图组合形式
期刊复现:多分类任务如何拆分为二分类任务并进行堆叠预测提高模型预测性能
期刊配图:SHAP值分析模型可解释性在柱状图与蜂窝图中的进阶组合展示
期刊配图:通过堆叠Mean|SHAP|展示不同区间对模型贡献度的可视化分析
期刊复现:利用UMAP降维算法可视化深度学习随着训练次数的增加模型区分能力的变化
期刊配图:PCA、t-SNE与UMAP三种降维方法简化高维数据的展示应用对比
Science期刊复现:分类、回归与Shap分析多角度揭示同一数据集变量对目标的影响
多模型SHAP+PDP解读Stacking集成模型:从基学习器到元学习器的可解释性与模型调参实现
如果你对类似于这样的文章感兴趣。
欢迎关注、点赞、转发~
个人观点,仅供参考
