损失函数(Loss function)
不管是深度学习还是机器学习中,损失函数扮演着至关重要的角色。损失函数(或称为代价函数)用来评估模型的预测值与真实值的差距,损失函数越小,模型的效果越好。损失函数是一个计算单个数值的函数,它指导模型学习,在学习过程将试图使其值最小化。
基于深度学习的图像分类,将传统的图像分类流程(预处理、特征提取、分类器),全部体现在各种层的组合,有卷积层、池化层、全连接层,图像分类流程如下图所示。
训练过程中主要是求解模型的参数,一个输入图片经过多个卷积、池化,它们提取图像特征图,图像特征图拉伸为一维特征向量,连接全连接层,将特征图映射到标签(类别),可知输入图片属于每个类别的概率值。
选取概率值最大的类别作为预测的结果。根据推理的结果与图片的真实类别的差距,用 损失函数 计算差距值,再通过梯度下降的方法求解模型参数。参数确定之后,模型就确定了,可以推理测试集中新的图片。
常见的回归损失函数:L1 Loss、L2 Loss、Smooth L1 Loss
常见的分类损失函数:0-1 Loss、交叉熵、Negative Log-Likelihood Loss、Weighted Cross Entropy Loss 、Focal Loss
这些损失函数通过 torch.nn 库和 torch.nn.functional库导入。这两个库很类似,都涵盖了神经网络的各层操作,只是用法有点不同,nn 是类实现,nn.functional 是函数实现。
nn.xxx 需要先实例化并传入参数,然后以函数调用的方式调用实例化的对象并传入输入数据。
nn.functional.xxx 无需实例化,可直接使用。
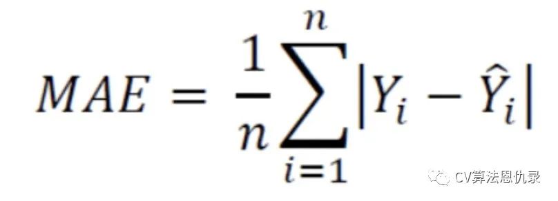
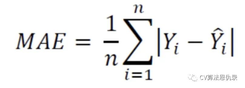
L1 Loss (Mean Absolute Error,MAE)
L1 损失函数计算预测张量中的每个值与真实值之间的平均绝对误差。它首先计算预测张量中的每个值与真实值之间的绝对差值,并计算所有绝对差值的总和。最后,它计算该和值的平均值以获得平均绝对误差(MAE)。L1 损失函数对于处理噪声非常鲁棒。
Numpy 实现如下:
import numpy as np
y_pred = np.array([0.000, 0.100, 0.200])
y_true = np.array([0.000, 0.200, 0.250])
# Defining Mean Absolute Error loss function
def mae(pred, true):
# Find absolute difference
differences = pred - true
absolute_differences = np.absolute(differences)
# find the absoute mean
mean_absolute_error = absolute_differences.mean()
return mean_absolute_error
mae_value = mae(y_pred, y_true)
print ("MAE error is: " + str(mae_value))
# MAE error is: 0.049999999999999996
PyTorch 实现如下:
torch.nn.L1Loss(*size_average=None*, *reduce=None*, *reduction='mean'*)
import torch
MAE_Loss = torch.nn.L1Loss() # 实例化
input = torch.tensor(y_pred)
target = torch.tensor(y_true)
output = MAE_Loss(input, target)
print(output)
# tensor(0.0500, dtype=torch.float64)
torch.nn.functional.l1_loss(*input*, *target*, *size_average=None*, *reduce=None*, *reduction='mean'*)
input = torch.tensor(y_pred)
target = torch.tensor(y_true)
output = torch.nn.functional.l1_loss(input, target)
print(output)
# tensor(0.0500, dtype=torch.float64)
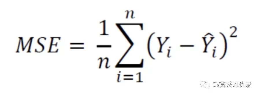
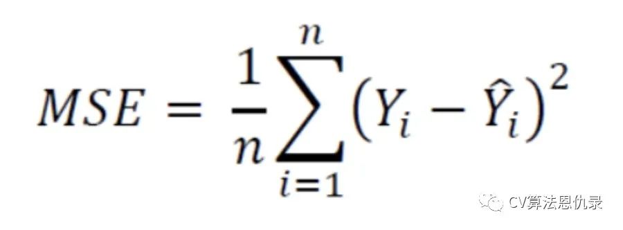
L2 Loss (Mean-Squared Error,MSE)
均方误差与平均绝对误差有一些惊人的相似之处。它不是像平均绝对误差那样计算预测值和真实值之间的绝对差,而是计算平方差。这样做,相对较大的差异会受到更多的惩罚,而相对较小的差异则会受到更少的惩罚。然而,MSE 被认为在处理异常值和噪声方面不如 MAE 稳健。
PyTorch 的 MSE 损失函数如下。
torch.nn.MSELoss(*size_average=None*, *reduce=None*, *reduction='mean'*)
torch.nn.functional.mse_loss(*input*, *target*, *size_average=None*, *reduce=None*, *reduction='mean'*)
Smooth L1 Loss
Smooth L1 损失函数通过 结合了 MSE 和 MAE 的优点,来自 Fast R-CNN 论文。
当真实值和预测值之间的绝对差低于 时,使用 MSE 损失。MSE 损失曲线是一条连续曲线,这意味着每个损失值处的梯度都会变化,并且可以在任何地方可导。然而,对于非常大的损失值,梯度爆炸,使用平均绝对误差,当绝对差变得大于 并且消除了潜在的梯度爆炸时,其梯度对于每个损失值几乎是恒定的。
PyTorch 使用示例:
torch.nn.SmoothL1Loss(*size_average=None*, *reduce=None*, *reduction='mean'*, *beta=1.0*)
torch.nn.functional.smooth_l1_loss(*input*, *target*, *size_average=None*, *reduce=None*, *reduction='mean'*, *beta=1.0*)
import torch
loss = torch.nn.SmoothL1Loss()
input = torch.randn(3, 5, requires_grad=True)
target = torch.randn(3, 5)
output1 = loss(input, target)
output2 = torch.nn.functional.smooth_l1_loss(input, target)
print('output1: ',output1)
print('output2: ',output2)
# output1: tensor(0.7812, grad\_fn=<SmoothL1LossBackward0>)
# output2: tensor(0.7812, grad\_fn=<SmoothL1LossBackward0>)
0-1 Loss
0-1 Loss 它直接比较预测值和真实值是否一致,不一致为1,一致为0。
其中, 表示真实值, 表示预测值。0-1 Loss 本质是计算分类错误的个数,函数也不可导,在需要反向传播的学习任务中,无法被使用。
Cross-Entropy Loss
Cross-Entropy(交叉熵)是理解分类损失函数的基础,给定两个离散分布 和 ,交叉熵的公式如下:
可以近似将交叉熵理解为衡量两个分布的距离,假设两个分布 表示真实值, 表示预测值,通过优化模型参数,降低 和 之间的距离,当距离趋近0,预测值也在逼近真实值。
通常,当使用交叉熵损失时,我们的网络的输出是 Softmax 层,这确保了神经网络的输出为概率值(介于0-1之间的值),公式如下。
其中, 表示全连接输出向量的第 个元素, 表示 softmax 网络输出的概率分布中第 个元素。
PyTorch 使用示例:
torch.nn.CrossEntropyLoss(*weight=None*, *size_average=None*, *ignore_index=- 100*, *reduce=None*, *reduction='mean'*, *label_smoothing=0.0*)
torch.nn.functional.cross_entropy(*input*, *target*, *weight=None*, *size_average=None*, *ignore_index=- 100*, *reduce=None*, *reduction='mean'*, *label_smoothing=0.0*)
loss = torch.nn.CrossEntropyLoss()
inputs = torch.randn(3, 5, requires_grad=True)
target = torch.empty(3, dtype=torch.long).random_(5)
output1 = loss(inputs, target)
output2 = torch.nn.functional.cross_entropy(inputs, target)
print('output1: ',output1)
print('output2: ',output2)
# output1: tensor(1.4797, grad\_fn=<NllLossBackward0>)
# output2: tensor(1.4797, grad\_fn=<NllLossBackward0>)
请注意,打印输出中的梯度函数 grad_fn=<NllLossBackward0> 是负对数似然损失(NLL)。这实际上揭示了交叉熵损失将负对数似然损失与 log-softmax 层相结合。
Negative Log-Likelihood Loss
Negative Log-Likelihood (NLL) 损失函数的工作原理与交叉熵损失函数非常相似。表达式如下:
注:NLL要求网络最后一层使用 softmax 作为激活函数。通过softmax将输出值映射为每个类别的概率值。
如前面在交叉熵部分所述,交叉熵损失结合了 log-softmax 层和 NLL 损失,以获得交叉熵损失的值。这意味着NLL损失可以通过使神经网络的最后一层是 log-softmax 而不是正常的 softmax 获得交叉熵损失值。
PyTorch 使用示例:
torch.nn.NLLLoss(*weight=None*, *size_average=None*, *ignore_index=- 100*, *reduce=None*, *reduction='mean'*)
torch.nn.functional.nll_loss(*input*, *target*, *weight=None*, *size_average=None*, *ignore_index=- 100*, *reduce=None*, *reduction='mean'*)
import torch.nn as nn
import torch.nn.functional as F
m = nn.LogSoftmax(dim=1)
loss = nn.NLLLoss()
# input is of size N x C = 3 x 5
inputs = torch.randn(3, 5, requires_grad=True)
# each element in target has to have 0 <= value < C
target = torch.tensor([1, 0, 4])
output1 = loss(m(inputs), target)
output2 = F.nll_loss(m(inputs), target)
print('output1: ',output1)
print('output2: ',output2)
Weighted Cross Entropy Loss
加权交叉熵损失(Weighted Cross Entropy Loss )是给较少的类别加权重。公式如下:
其中 与 表示类别的权重。不同类别的权重和它们的数量成比例,比如一个类别a的数据有 20 个,另一个类别 b 的数据有 80 个,那么 a 的权重是 ,b的权重就是 。
Focal Loss
出自何凯明的《Focal Loss for Dense Object Detection》,Focal Loss 可以解决数据之间的样本不均衡和样本难易程度不一样。比如在病变图像的识别,一方面有病变的图片数量比较少,无病变的图片数量多;另一方面,有病变的图像中的病变区域占整张图片是比较小,特征难以学习,病变图片难以识别。
Focal Loss 在原始的 Cross Entropy Loss 上改进,先回顾一下 Cross Entropy Loss:
为了解决数据不均衡,Focal Loss 添加权重 ,公式如下:
Focal Loss是对简单的数据添加一个小的权重,让损失函数更加关注困难的数据训练,即添加了,公式如下:
这样二分类的 Focal Loss 表达式如下:
多分类的 Focal Loss 表达式如下:
- 参数 和 () 分别用于控制正/负样本的比例,其取值范围为[0, 1]。 的取值一般可通过交叉验证来选择合适的值。
- 参数 称为聚焦参数,其取值范围为 ,目的是通过 减少易分类 样本的权重,从而使模型在训练时更专注于困难样本。当 时,Focal Loss 就退化为交叉熵损失, 越大,对易分类样本的惩罚力度就越大。
PyTorch 自定义 Focal Loss 损失函数的示例如下:
import torch
import torch.nn as nn
import torch.nn.functional as F
class FocalLoss(nn.Module):
def \_\_init\_\_(self, weight=None, gamma=2., reduction='none'):
nn.Module.__init__(self)
self.weight = weight
self.gamma = gamma
self.reduction = reduction
def forward(self, input\_tensor, target\_tensor):
log_prob = F.log_softmax(input_tensor, dim=-1)
prob = torch.exp(log_prob)
return F.nll_loss(
((1 - prob) ** self.gamma) * log_prob,
target_tensor,
weight=self.weight,
reduction=self.reduction
)
使用自定义的损失函数:
weights = torch.ones(7)
loss = FocalLoss(gamma=2, weight=weights)
inputs = torch.randn(3, 7, requires_grad=True)
target = torch.empty(3, dtype=torch.long).random_(7)
print('inputs:', inputs)
print('target:', target)
output = loss(inputs, target)
print('output:', output)
结果如下:
inputs: tensor([[ 0.5688, -1.1567, 1.8231, -0.2724, -1.2335, 0.9968, 0.9643],
[-0.1824, 0.3010, 1.7070, 0.8743, 0.4528, 1.4306, -2.3726],
[-2.5052, -0.3744, 0.3718, -1.5129, -2.0459, 1.0374, -0.5433]],
requires_grad=True)
target: tensor([6, 5, 1])
output: tensor([1.1599, 0.7283, 1.6924], grad_fn=<NllLossBackward0>)
