主要内容
-
结构因果模型
-
干预
-
辛普森悖论
-
调整公式
结构因果模型(
Structural Causal Model, SCM
)
定义 :结构因果模型被定义为一个有序三元组<U,V,f>,U为外生变量,即有模型外部因素决定,外生变量不能是其他变量的后代;V为内生变量,即由模型内部因素决定,内生变量至少是一个外生变量的后代;f为一组方程,通过f可以用外生变量推导出内生变量的值
SCM包含图结构和变量,简单的例子如下:
以因果推断(二)中的诺贝尔奖和巧克力的事件为例,B为外生变量,A和C为内生变量,节点之间的边就是f函数。
图1
干预
因果关系之梯可以分为三层: **关联、干预和反事实** 。
例1:以巧克力和诺贝尔奖为例,当我们想探究吃巧克力是否会影响诺贝尔奖得主数量时,我们需要进行 **干预** ,给之前没吃巧克力的国家的人吃巧克力,给之前吃了巧克力的停止食用巧克力,以此观察结果,分析巧克力是否会影响诺贝尔奖数量。
在[因果推断(二)](http://mp.weixin.qq.com/s?__biz=MzkxNjI4MDkzOQ==&mid=2247483734&idx=1&sn=d548148c2de7783ea8ca89ad2e8c9a64&chksm=c1530252f6248b440ef29b5eb713309df4c860a871e2699a7145c18d92b9f8e55cd0e8834a74&scene=21#wechat_redirect)中,我们介绍了因果关系中的条件独立,这里需要注意的是条件独立和干预的区别。探索条件独立时,我们以某一个变量为条件,然后从观测数据中进行观察。例如以上图的B为条件,A和C独立,我们是选取经济教育水平高的为一组,经济教育水平低的为一组去观察。而干预,是直接赋值,正如上述例1。
当我们对一个变量进行干预时,这个变量的值就确定了,因此,他不再受父节点的约束,即我们可以从因果图中去掉指向该节点的边,以巧克力和诺贝尔奖事件为例,结合例1,得到新的因果图如下图所示:
图2
我们用符号 **do** 来表示干预,以区分普通的条件概率。还是以上面的事件为例。,他将对应图2,因果图会发生变化,表示将A都固定为a后,C=c的概率,原始的分布发生了变化。
辛普森悖论
小夏开了有一家tb店,他们请了一位明星为他们宣传,并且统计了不同性别以及总体的购买率进行比较,来分析这次请的明星是否对增加购买量有作用。
| 明星不宣传 | 宣传 | |
| 男性 | 20/50=0.4 | 38/100=0.38 |
| 女性 | 30/100=0.3 | 13/50=0.26 |
| 总体 | 50/150=0.33 | 51/150=0.34 |
从上面表格中,我们可以发现,无论从男性角度还是女性角度,该店通过明星宣传貌似没有达到更好的购买率,但是从总体上看明星宣传还是起到了一定作用的。这就是辛普森悖论:分组比较频率与总体比较频率出现相反结果。不过这个从数学上比较好解释:a/b>c/d, e/f>g/h不能推出(a+e)/(b+f)>(c+g)/(d+h)。这个例子中出现这个悖论的主要原因在于虽然小夏请了明星给他们代言,并且在平台上放了他的照片,但是平台在推送这个代言时,是智能推送的从而导致不同性别的人群被宣传的量存在差异。如下图所示,性别会干扰平台推送这个代言宣传。同时结合[因果推断(二)](http://mp.weixin.qq.com/s?__biz=MzkxNjI4MDkzOQ==&mid=2247483734&idx=1&sn=d548148c2de7783ea8ca89ad2e8c9a64&chksm=c1530252f6248b440ef29b5eb713309df4c860a871e2699a7145c18d92b9f8e55cd0e8834a74&scene=21#wechat_redirect),我们可以发现B(性别)是一个混杂因子。
为了探究宣传是否有用,我们假设给所有人都被宣传了do(A=1)得到P(C=1|do(A=1)),然后假设所有人都没有被宣传,P(C=1|do(A=0)),然后进行比较P(C=1|do(A=1))-P(C=1|do(A=0))
由于我们干预了宣传,即所有人都能被宣传到,也就可以排除性别对其的影响,因果图修改如下。
调整公式
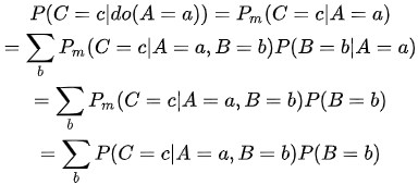
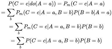
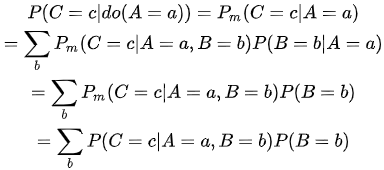
用
,经过干预B的边缘概率以及C的条件概率不会发生变化,并且A和B独立,可以推出调整公式。
这个公式称为 **调整公式** ,通过这个调整公式,我们可以用观测数据来计算干预,因为等式右侧的概率都是观测数据中的概率
代言的例子:
由此可得,代言比不代言好。调整公式将在后续的 后门调整,前门调整 等方法中得到更多应用。
更多内容:
有问题的小伙伴可以在公众号留言
更多内容可前往我的csdn博客和牛客博客,在公众号回复“博客”即可
