视频质量评价指标只是衡量画面质量的工具,单项指标的数值或高或低,都不应是视频工作者的最终目的。微帧一直都以提升画质优化观看体验为主要目标,致力于使用最优的质量评价方式,提供最极致的画质效果。
视频流量在整个互联网流量的占比每年都在高速增长,为降低视频存储成本和数据传输通道的负载,视频压缩标准及算法在不断积极开发和改进。视频质量的评估在其中也起着至关重要的作用,尽管已经发展出了大量视频质量评估方法,但普遍接受度最高、最知名的评价方法还是经典的PSNR、SSIM以及VMAF。
本文将浅谈一下这几类评价方法的概念,并将结合微帧在日常实验中所得的经验,重点聊一聊PSNR avg.MSE与PSNR avg.log,谁更胜一筹? 以及VMAF的“喜”与“忧”。
PSNR(峰值信噪比)
峰值信号的能量与噪声的平均能量之比,本质的是比较两张图像像素值差异,用途较广,目前仍作为对照其他指标的基线。PSNR的单位是dB,数值越大表示失真越小。
两个m×n单色图像 I 和K, I 为一无噪声的原始图像,K为 I 的噪声近似(例:I 为未压缩的原始图像,K为 I 经过压缩后的图像)。
其中,MAX是表示图像点颜色的最大数值,如果每个采样点用 8 位表示(例:影像处理),那么就是 255。
PSNR avg.MSE与PSNR avg.log,谁更胜一筹
PSNR avg.MSE:当聚合整个视频的逐帧分数时,首先计算MSE的算术平均值,然后取对数。
PSNR avg.log:当聚合整个视频的逐帧分数时,首先计算每帧的PSNR,然后计算所有视频帧的算术平均值。
经微帧多次测试表明,相较于PSNR avg.MSE,PSNR avg.log具有一定不合理性,其太过“照顾”质量更高的帧,比如PSNR=99dB和PSNR=50dB的单帧,往往在主观上看不出区别,但通过PSNR avg.log的公式计算后,PSNR=99dB的一帧就会大大拉高最终平均分,在特定序列上容易被trick。
然而,事实上人眼对于质量越差的帧反而越敏感,所谓一锅老鼠屎坏了一锅粥,当观看视频时突然闪现一帧质量差的画面,人眼会对这一帧记忆更为深刻。相较于PSNR avg.log,PSNR avg.MSE就更加关照低质量帧,从这点上更符合主观感受。
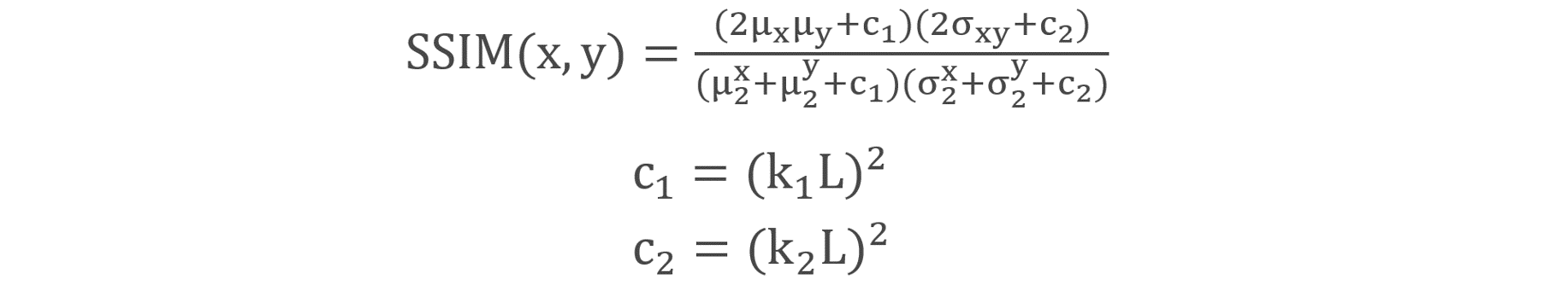
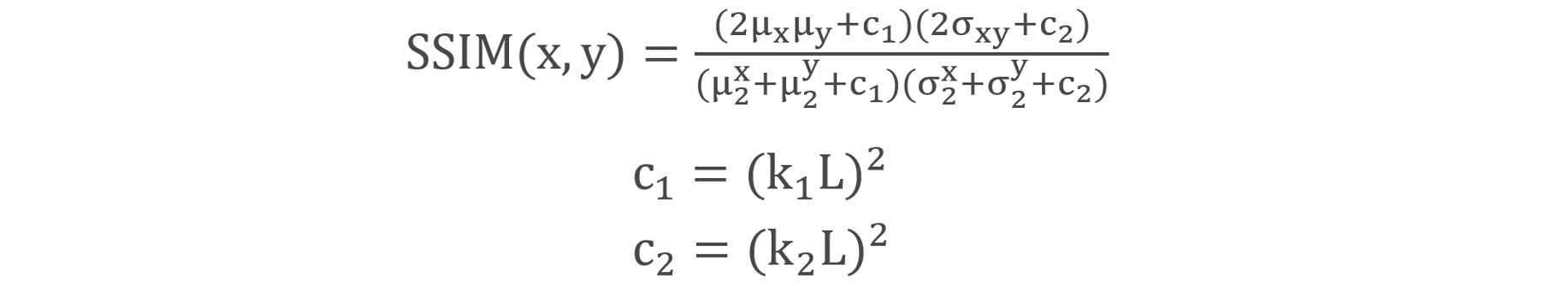
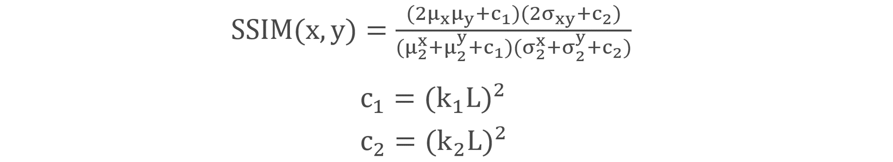
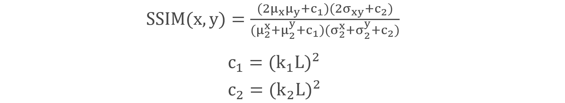
SSIM(结构相似性)
一种全参考的图像质量评价指标,分别从亮度、对比度、结构三方面度量图像相似性。SSIM取值范围为[0,1],值越大,表示图像失真越小。
分别是图像中 , 的平均值和方差, 是协方差, 是像素值的动态范围, 和 是常数。
SSIM在衡量编码主观损失方面有其独特的表现。比如,当x264打开AQ(自适应量化技术,关闭AQ时,x264倾向于对低细节度的平滑区域使用过低码率,AQ可以更好地把码率分配到各个宏块中),PSNR和VMAF都会严重掉分,SSIM却能体现出收益。大量实践表明AQ与主观呈正相关,SSIM在这点上更符合主观感受。
VMAF(视频多评估方法融合)
由Netflix推出的视频质量评价工具,用来解决传统指标不能反映多种场景、多种特征的视频情况。该指标是目前互联网视频最主流的客观视频评价指标,适用于衡量大规模环境中流播视频质量的观感。
VMAF的“喜”与“忧”
“喜” — VMAF的优势
视频画质增强是目前视频爆发时代的刚需应用,它能够更好的提升用户观看体验,然而质量评估常用指标PSNR和SSIM,虽然简单易算,但却不能完全反应人眼主观感受,更无法评价对原画的增强,VMAF却可以做到这一点。
【左】PSNR=30.87dB,SSIM=0.8725,VMAF=67.44
【右】PSNR=22.5dB,SSIM=0.9168,VMAF=100
通过对比可以发现右图经过画质增强,能展现更多的细节,小字变得更加清晰,同时VMAF也有了较大的提升。
“忧” — VMAF的不足
① VMAF值能够被trick。单纯为了提高VMAF值,而增强对比度,实际是不合理的,虽VMAF值提高了,但画质却并没有真正提升,本末倒置。
下图为例,右边视频仅在左边视频基础上进行了对比度增强的处理,左边VMAF为67.44,右边VMAF为97,可见经过增强对比度,VMAF也提升了不少,但当我们查看细节,会发现画质没有得到根本提升,原有的马赛克、噪点依然存在。
② VMAF在衡量原画损失的能力稍弱,有时不如SSIM与PSNR,甚至适得其反。我们可以做一个简单实验,采用x264 superfast对标准测试序列Johnny做定码率编码,在关闭deblock后(采用了no-deblock选项),PSNR和SSIM出现明显损失,VMAF却取得了增益,如下表所示。(deblock是视频编码一项成熟已久的技术,用来减轻编码造成的马赛克损伤。)
为了更直观地感受,我们提取实验中的同一码率下的对比帧(下图),可见no-deblock(右图)的VMAF略高于开启deblock(左图)的VMAF,但右图却充满了马赛克。因此,关掉deblock虽然能提升VMAF值,但失真会比较严重。
同一码率下
【左】开启deblock(deblock),VMAF=82.72
【右】关闭deblock(no-deblock),VMAF=83.13
VMAF虽然有令人担忧的硬伤,但是确实有其独到的一面。譬如上方关闭deblock的右图,虽然马赛克损伤严重,但是左图整体更模糊一些。此外鉴于VMAF能兼顾相对于源的画质增强和画质损伤两部分,在互联网领域使用越来越广泛。
由此可见,在日常评价视频质量时,单看一组指标数据容易产生误差。视频质量评价指标只是衡量画面质量的工具,单项指标的数值或高或低,这都不应是视频工作者的最终目的。微帧一直都以提升画质优化体验为主要目标,倡导大家应当既看VMAF,也要结合PSNR和SSIM,进行综合评估,以达到最接近人眼主观的测评效果。
