强化学习是深度学习之外的另一个人工智能分支,它的思路和深度学习是不同的,举几个使用了强化学习的情景:
-
- 网游的自动寻路功能
-
- 机器人搬运一块石头
-
- AlphaGo下围棋
强化学习的主要思路,就是智能体选择一个动作后,接收环境信息,根据当下奖励和预期奖励,选择下一个动作并循环往复
强化学习在近些年在大模型上的应用越来越多,是因为大模型的token生成本质上也是一个token接一个token的。
PPO:近端策略优化
举个例子
想象你在学做菜,有一个很保守的老师:
问题情况 :你昨天学会了做蛋炒饭,今天想学习新的调味方法。(模型已经经过了预训练,现在想调整下回答范式)
学生 :今天我要加很多新调料!(我要调整模型参数,还要改变回答的分布!)
老师 :等等,不要变化太大。你昨天加一勺盐效果不错,今天最多加1.2勺,不要一下子加2勺,否则可能做坏了。(别偏离现在的模型参数太远,防止知识遗忘和训崩,也就是近端策略优化)
PPO的数学原理
重要性采样
传统策略梯度有个问题:收集数据用的是旧策略
,但我们要更新的是新策略
。
使用重要性采样修正:
定义重要性采样比率:
PPO-Clip
PPO的目标函数是:
其中:
- •
是优势函数,表示动作
比平均水平好多少
- •
是截断参数,通常取0.1或0.2
- • clip函数限制比率在
范围内
详细解释
**当
(好动作)时** :
- • 如果
:新策略过度增加了这个好动作的概率,被截断
- • 如果
:新策略过度减少了这个好动作的概率,也被截断
**当
(坏动作)时** :
- • 如果
:新策略过度增加了坏动作概率,被截断
- • 如果
:新策略过度减少了坏动作概率,也被截断
这确保了策略更新不会太激进。
Snipaste_2025-07-19_20-11-32.png
GRPO
GRPO的来源是DeepSeek团队的DeepSeekMath论文。
为什么要使用GRPO
-
- PPO的Value Model最开始是不准确的,和Policy Model是同时训练的,这可能训练时的不稳定性
-
- 增加一个Value Model加大了大规模训练的工程难度,以及训练资源使用
-
- 人类更善于关注相对值,而非绝对值。因此重标注的方式来给回答进行准确的绝对值打分是困难的,而RL训练只需要相对优势,因此使用采样替代更为简单
GRPO的主要思路就是用抽样的相对优势代替绝对的打分,我们贴一下DeepSeek训练GRPO的训练过程:
-
- 先收集一部分高质量冷启动数据(约几千条),使用该数据fine-tune DeepSeek-V3-Base模型,记为模型A
-
- 使用A模型用GRPO训练,使其涌现推理能力,收敛的模型记为B
-
- 使用B模型产生高质量SFT数据,并混合DeepSeek-V3产生的其他领域的高质量数据,形成一个高质量数据集
-
- 使用该数据集训练原始DeepSeek-V3-Base模型,记为模型C
-
- 使用C模型重新进行步骤2,但是数据集变为所有领域,收敛后的模型记为D,这个模型就是DeepSeek-R1
-
- 训练C模型的数据对小模型做蒸馏,效果也非常好
贴一下关键的论文原文部分:
由于PPO中使用的价值函数通常是另一个与策略模型规模相当的模型,这带来了巨大的内存和计算负担。
此外,在强化学习训练过程中,价值函数被用作计算优势的基线以减少方差。
而在大语言模型的上下文中,通常只有最后一个token被奖励模型分配奖励分数,这可能会使训练在每个token上都准确的价值函数变得复杂。
为了解决这个问题,如图4所示,我们提出了群体相对策略优化(GRPO),它消除了像PPO中那样需要额外价值函数近似的需求,
而是使用针对同一问题产生的多个采样输出的平均奖励作为基线。
更具体地说,对于每个问题𝑞,GRPO从旧策略𝜋𝜃𝑜𝑙𝑑中采样一组输出{𝑜1, 𝑜2, · · · , 𝑜𝐺},
然后通过最大化以下目标来优化策略模型:
Snipaste_2025-07-19_20-12-08.png
...
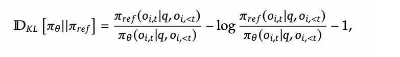
GRPO 使用的分组相对方法与奖励模型的比较性质非常一致,因为奖励模型通常在相
同问题的不同输出之间的比较数据集上进行训练。另外请注意,GRPO 不是在奖励中添加 KL
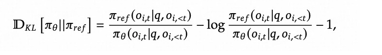
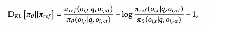
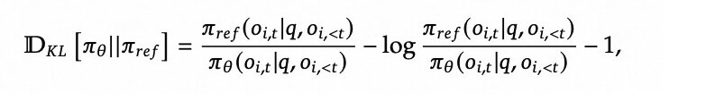
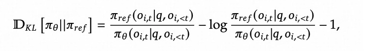
罚项,而是通过直接将训练策略和参考策略之间的 KL 散度添加到损失函数中来正则化,避免了
复杂化 ˆ𝐴𝑖,𝑡 的计算。与PPO中使用的 KL 罚项不同,我们使用以下无偏估计量 (Schulman, 2020)
来估计 KL 散度:
Snipaste_2025-07-19_20-12-03.png
...
对于每个问题 𝑞,从旧策略模型 𝜋𝜃𝑜𝑙𝑑 中采样一组输出 {𝑜1, 𝑜2, · · · , 𝑜𝐺 }。然后使用奖励模
型对输出进行评分,得到 r = {𝑟1, 𝑟2, · · · , 𝑟𝐺 } 个相应的奖励 𝐺。随后,通过减去组平均值并除以
组标准差来规范化这些奖励。结果监督在每个输出 𝑜𝑖 的末尾提供规范化奖励,并将输出中所有
词元的优势 ˆ𝐴𝑖,𝑡 设置为规范化奖励,即 ˆ𝐴𝑖,𝑡 = ˜𝑟𝑖 = (𝑟𝑖 −mean(r))/std(r) ,然后通过最大化公式中定义的目标来优化策略。
GRPO解决了强化微调中标注数据的巨大成本,简化了数据集格式需求和训练难度,这也是DeepSeek-R1大火的重要原因。
训练框架选择
选择合适自己的训练框架,这里推荐几个比较好的开源框架:
-
• SWIFT :支持PT、SFT、RLHF、多模态、Megatron、蒸馏、GRPO、拒绝采样等
-
• veRL : 支持大规模RL训练,尤其是Megatron+Ray相关的训练
-
• OpenRLHF : 类比veRL,支持大规模RL训练,尤其是Megatron+Ray相关的训练
-
• TRL : Hugging Face社区的框架,使用简单,适合小规模RL训练
书籍推荐:
