A/B实验具有一定前瞻性、统计性、科学性的特性。用好了就实现了在大数据时代的充分利用数据分析问题,解决问题,为决策提供强有力的依据,但是有时候用户在使用A/B实验时候,会出现一些痛点和疑惑。本文将具体分析A/B测试中易出现的痛点问题及解决方案。
文 | 松宝写代码 来自字节跳动数据平台DataTester团队
前言
痛点
-
每次实验需要多少流量
-
实验时间开多长没有概念
解决问题
-
为了验证某一个功能特性,一个实验需要开多少流量。
-
一个实验需要开多长时间
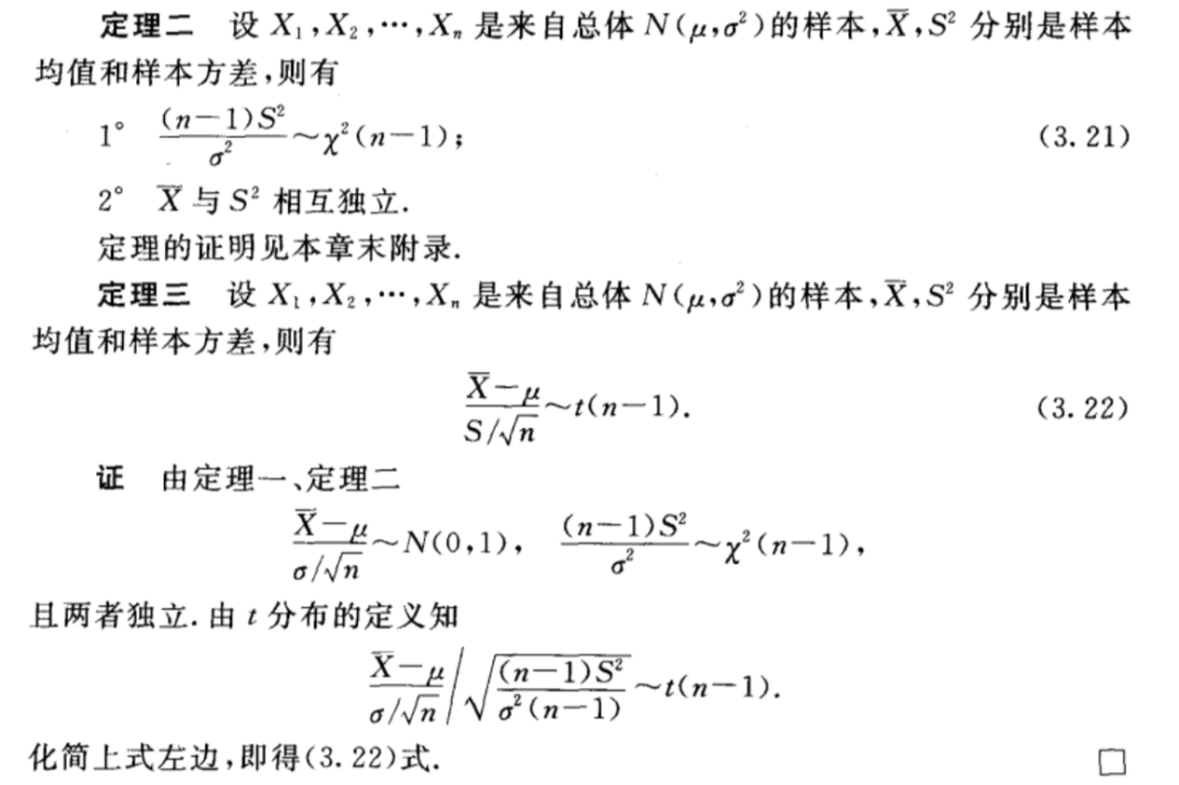
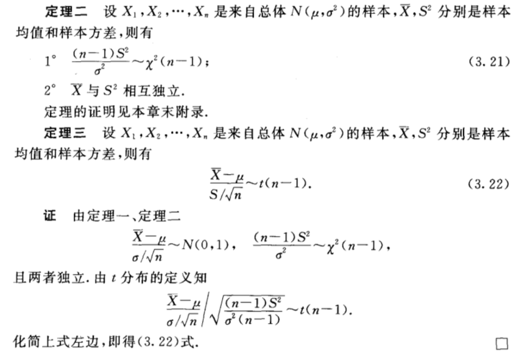
统计基础概念
研究对象
总体X:研究问题某个数量指标。
入手点
个体:总体中的一个元素 xi
样本:一部分个体 Xi
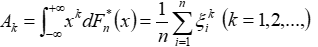
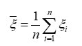
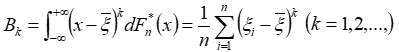
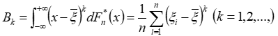
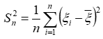
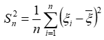
统计量(工具)
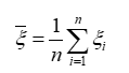
(1)样本均值
反映出总体X数学期望。
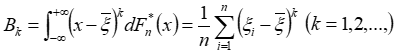
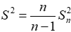
(2)样本方差
方差 是各数据偏离平均值 差值的平方和 的平均数。反映的是总体X方差。
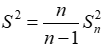
样本修正
得出
(3)样本均方差
均方差就是标准差,标准差就是均方差。
对上面公式开平方。
(4)样本 K 阶矩
(5)样本 K 阶中心矩
抽样分布
这里不做详细的叙述,后续推导中需要使用到以上概念,具体可以参考网上介绍。
-
标准正态分布N(0, 1)
-
Ka方分布
-
t-分布
-
F-分布
抽样定理
简单介绍几个抽样定理
参数估计
通俗的说:样本参数去估计总体的参数。
举个例子:
-
样本均值估计总体均值,
-
用样本比例去估计总体比例,
-
用样本方差估计总体方差
(1)分类:点估计和区间估计
-
点估计通俗的说:用样本的统计量的值直接作为总体参数的估计值。
-
区间估计通俗的说:在点估计的基础上,给出总体参数估计的一个区间范围。
(2)置信区间和置信水平
通俗的说:区间估计中,样本统计量构造的总体参数的估计区间,称为置信区间。
举个例子:
- 100个样本,每一个样本构造一个置信区间,100个样本构造的总体参数的100个置信区间中,有95%的区间包含了总体参数的真值,5%则没有包含。
大样本下,样本均值的置信区间:
(3)总体均值的区间估计原理
大样本下,根据中心极限定理,可以得到的样本均值的抽样分布。
假设检验
我们来看一下一个简单的假设性检验的例子:
根据水稻长势,估计平均亩产310kg,收割时,抽取10块地,测平均亩产320kg,如水稻产量服从正态分布N(u, 144),问所估计平均亩产是否正确?(a = 0.05,Z0.05 = 1.645,Z0.025 = 1.96)
分析:当方差已经的情况下,使用Z检验;未知的时候,使用t检验
一个简单并完整的A/B实验例子
背景和设置
-
背景:有个web应用,接入火山引擎的AB测试客户端sdk,上报各种事件埋点。
-
确认优化的目标:注册流程改版,从而提供注册转换率。
-
注册流程的A/B测试:之前是使用了图片校验码的方式,但是注册转化率偏低。提出设想:图片校验码方式改成短信校验码方式,是因为降低了用户输入的难度从而可以提高注册转换率。
-
我们设置
- 核心指标:注册转化率
- 设置版本:1个对照版本(图片校验码)。1个实验版本(短信验证码)。
- 设置版本流量:总流量我们设置50%,各个版本均匀分配。
- web应用引入我们客户端分流sdk的,然后将版本代码插入到项目中。
结果分析
分别为两个版本分配了25%的用户流量,通过2个自然周左右的实验观察,数据显示。
结果 :新版本(短信校验码)的注册转化率提升了接近10%,并且95%置信区间是[8%, 12%],
分析 :说明这个实验版本推广到全量用户之后,95%的概率下至少会有8%到12%的提升。
决策 :基于这个实验结果,产品经理选择将新版本注册流程推送给全部用户,显著提升了注册转化率。
详细介绍样本量计算
注册流程改版例子
实验运行后,用户开始进组。
- 1天后数据统计
这就能说明:短信验证码的功能有效提高注册转换率?
- 2天后数据统计
这就能说明:图片验证码的功能有效提高注册转换率?
那么到底,注册流程改版对于提高注册转换率是否有显著性提高呢?暂时是不能给出结论的,因为数据样本还不够大,不能充分说明。
- 理论上:样本量越多越好。
- 现实上:1、自身样本不够大;2、试错成本大。
选择样本数量是个技术活:样本量太小,实验不严谨;样本量太大,老板不高兴。
那么样本太小带来的问题是什么呢?样本太小导致没有统计学意义,而且会出现样本偏差情况,可能会造成“假阳性”的实验结论等问题。
那么样本太大带来的问题是什么呢?首先我们需要知道样本并不是总体,我们通过样本来替代样本太大会造成实验成本增加,以及产品本身的试错成本等。
那么问题来了: 如何确定一个“最小”的样本数量,在保证实验“可靠性”的同时,不会浪费过多流量?
最小样本公式
统计学里有最小样本量计算的公式:
说明:
(1)n是每组所需样本量,因为A/B测试一般至少2组,所以实验所需样本量为2n;
(2)α和β分别称为第一类错误概率和第二类错误概率,一般分别取0.05和0.2;
(3)Z为正态分布的分位数函数;
(4)Δ为两组数值的差异,如注册转换率50%到60%,那么Δ就是10%;
(5)σ为标准差,是数值波动性的衡量,σ越大表示数值波动越厉害。
从而可知:实验两组数值差异Δ越大或者数值波动性σ越小,所需要的样本量就越小。
其中很多同学可能对于「第一类错误」和「第二类错误」不是很清楚。我们来简单解释一下:
(1)第一类错误:H0为真,拒绝H0。“本身没提升,但误判为有提升”
(2)第二类错误:H1为真,接受H0。“本身有提升,但没有察觉提升”
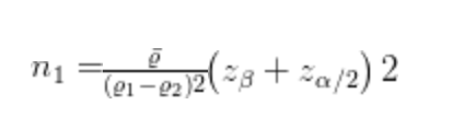
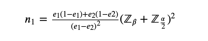
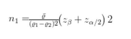
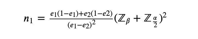
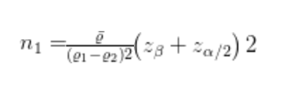
方法一:假设两个转化率方差相等
条件:假设两个转换率的方差(可变性)相等。
上面公式转换为:
说明:
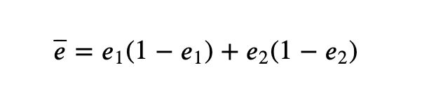
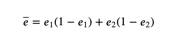
(1)e1和e2是真实的注册转换率。
(2)e 是合并方差估计量。
(3)α是显著性水平(通常α = 0.05)
(4)β是期望功效(通常β = 0.8)
(5)Zβ和Zα/2针对给定参数的临界值α和β
固定值:α = 0.05时,Zα/2 = 1.96。β = 0.8时,Zβ = 0.84。
【注册流程改版例子】具体计算过程:
- 两个版本权重相等的情况
这里使用合并估计量作为方差。
如果我们不假设两个转换率的方差相等,则公式会略有不同,后边给出
代入公式,得到最终的样本的公式:
我们来真实计算一下:
1、注册转换率e1为50%,e2为60%
2、假设最小标准值为0.8的期望功效
3、显著性水平α为0.05
因此。每组(对照组和实验组)的最小样本量为385。
- 两个版本的注册转换率权重不等的情况
这种情况下,第一步,假设各组大小相等,计算总样本量;然后,可以根据两组实际比率k来调整此总样本量大小N,而修改后的总样本大小N ',可以通过下面公式来计算:
以上两组中,每个样本的样本大小分别为 N '/(1 + k)和 kN '/(1 + k)。
- 小结
假定两组的 总体方差相等 ,在方差的计算方式上有区别,这类公式 不推荐 ,因为该假设在AB实验应用中并不常见。
方法二:使用假设性检验
-
适用范围
-
假设性检验本身可以对单个总体参数或者两个总体参数进行。
-
假设的内容可以是双侧检验。比如参数是否等于某个值,还可以参数是否大于或者小于某个值。
-
具体检测和推算
原假设H0:μ1=μ2
备择假设H1:μ1≠μ2
构造统计量
条件:两个样本间,相互独立,且样本量大。
我们实际进行两总体均值差是否为0的双侧检验
实际计算中,总体方差可以用样本方差代替,原假设的背景下u1 - u2 = 0,所以计算统计量z,所需要的数据都可以依据样本得到。
计算原理
下图是概率密度曲线:
1、黄色是AA实验的均值差的分布,蓝色是AB实验(以指标提升为例)的均值差的分布。
2、两个红箭头分别标示 -1.96指标标准差 +1.96指标标准差
-
power 即 蓝色曲线在红色(右)箭头右侧的面积,即显著实验的概率。
-
delta是上图 蓝色的中轴位置,即 AB实验(以指标提升为例)的均值差的期望。
其中很多同学可能「power」和「delta」不是很清楚。我们来简单解释一下:
power:统计功效,原假设为假,拒绝愿假设的概率,等于( 1减第二类错误的概率)。
delta:均值差的期望。
具体推算
根据上面的概率密度曲线和power定义利用标准正态分布的分布函数可以计算power,包含了delta,指标方差,样本量 ;然后根据power公式反推每个版本的样本量。
功效(power):正确拒绝原假设的概率,记作1-β, 即
power = 1- β(二类错误)
公式:
其中:
-
σ 是标准差
-
Φ是标准正态分布下某个X值对应的概率面积
-
α是一类错误概率,叫它alpha
-
β是二类错误概率,1-β是统计功效,叫它beta
假设检验的功效受以下三个因素影响:
-
样本量 (n):其他条件保持不变,样本量越大,功效就越大。
-
显著性水平 (α):其他条件保持不变,显著性水平越低,功效就越小。
-
两总体之间的差异:其他条件保持不变,总体参数的真实值和估计值之间的差异越大,功效就越大。也可以说,效应量(effect size)越大,功效就越大。
代入实际计算变量:
power = 1 - norm.cdf( norm.ppf(1 - α / 2) - np.sqrt( sample_per_version * (delta ** 2) / 2 * ( metric_variance ** 2 ) ) )
其中:
-
cdf 累积分布函数,是概率密度函数的积分,能完整描述一个实随机变量X的概率分布。
-
ppf 分位点函数
-
sample_per_version 样本每个版本样本量
-
metric_variance 指标方差
-
delta 均值的差
根据power,反推出样本量:
公式:
代入实际计算变量:
sample_per_version = 2 * (norm.ppf(1 - α / 2) - norm.ppf(β)) ** 2 * metric_variance / (delta ** 2)
其中:
-
ppf 分位点函数
-
norm.ppf正态分布的累计分布函数的逆函数,即下分位点。
-
alpha 默认5%,其中norm.ppf(1 - α / 2) = 1.96,norm.ppf(β)为映射值。
-
metric_variance 指标方差。
-
delta 均值的差。
对上述公式做更简单的说,我们只需要知道如下值就可以计算样本量。
(1)希望识别的最小差异,绝对差异(即delta)还是相对差异。
(2)指标方差,方差会根据指标值估算。
(3)alpha 默认是 5%
(4)power 默认是 50%、80%、90%、99%、99.99%
可以使用火山引擎AB测试的流量样本建议工具。
最后
其实样本量计算在不同的场景下有不同的计算方式,但是我们针对于主要AB场景下针对可以科学计算置信度的指标,采用的一种计算样本量,从而指导AB实验的流量使用多少和指导实验开启多久。
产品介绍
火山引擎 A/B 测试,限时免费,立即申请!
A/B 测试,摆脱猜测,用科学的实验衡量决策收益,打造更好的产品,让业务的每一步都通往增长。火山引擎首度发布增长助推「火种计划」,火山引擎 A/B 测试作为「火种计划」产品之一,将为您免费提供 2 亿事件量和 5 万 MAU,以及高达 12 个月的使用权。后台回复数字“8”了解产品
****
点击 阅读原文,**** 立即跳转火山引擎A/B测试DataTester官网了解详情
